| Proactive Molecular Research | USA | |||
|---|---|---|---|---|
![]() |
+1 (352) 505-2681 | |||
![]() |
tony@proactivemr.com | |||
| Chemical manufacturer | ||||
| Tocris Bioscience Inc. | USA | |||
|---|---|---|---|---|
![]() |
+1 (636) 207-7651 | |||
![]() |
marketing@tocrisusa.com | |||
| Chemical manufacturer since 1982 | ||||
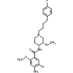
| Name | 4-Amino-5-chloro-N-{(3S,4R)-1-[3-(4-fluorophenoxy)propyl]-3-methoxy-4-piperidinyl}-2-methoxybenzamide |
|---|---|
| Synonyms | (+)-(R)-Cisapride; [81098-60-4]; 4-amino-5 |
| Molecular Structure | ![]() |
| Molecular Formula | C23H29ClFN3O4 |
| Molecular Weight | 465.95 |
| CAS Registry Number | 86718-70-9 |
| SMILES | CO[C@H]1CN(CC[C@H]1NC(=O)C2=CC(=C(C=C2OC)N)Cl)CCCOC3=CC=C(C=C3)F |
| InChI | 1S/C23H29ClFN3O4/c1-30-21-13-19(26)18(24)12-17(21)23(29)27-20-8-10-28(14-22(20)31-2)9-3-11-32-16-6-4-15(25)5-7-16/h4-7,12-13,20,22H,3,8-11,14,26H2,1-2H3,(H,27,29)/t20-,22+/m1/s1 |
| InChIKey | DCSUBABJRXZOMT-IRLDBZIGSA-N |
| Density | 1.3±0.1g/cm3 (Cal.) |
|---|---|
| Boiling point | 605.4±55.0°C at 760 mmHg (Cal.) |
| Flash point | 319.9±31.5°C (Cal.) |
| solubility | Soluble to 100 mM in DMSO |
| (1) | Min Jung Kim, Su Chul Lee, Sukdeb Pal, Eunyoung Han and Joon Myong Song. High-content screening of drug-induced cardiotoxicity using quantitative single cell imaging cytometry on microfluidic device, Lab Chip, 2011, 11, 104. |
|---|---|
| Market Analysis Reports |