Online Database of Chemicals from Around the World

Deoxy-BigCHAP
[CAS 86303-23-3]

List of Suppliers
Carbosynth China Ltd. China
www.carbosynth.cn
+86 (512) 6260-5585
+86 (512) 6260-5576
sales@carbosynth.com
QQ Chat
Chemical manufacturer since 2006
chemBlink Standard supplier since 2016
Dojindo Molecular Technologies, Inc. USA
www.dojindo.com
+1 (301) 987-2667
+1 (301) 987-2687
info@dojindo.com
Chemical manufacturer
Toronto Research Chemicals Inc. Canada
www.trc-canada.com
+1 (416) 665-9696
+1 (416) 665-4439
info@trc-canada.com
Chemical manufacturer since 1982

Identification
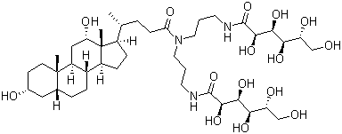
NameDeoxy-BigCHAP
SynonymsN,N-Bis[3-(D-gluconamido)propyl]deoxycholamide; (3a,5b,12a)-N,N-Bis[3-(D-gluconoylamino)propyl]-3,12-dihydroxycholan-24-amide
Molecular StructureDeoxy-BigCHAP molecular structure (CAS 86303-23-3)
Molecular FormulaC42H75N3O15
Molecular Weight862.06
CAS Registry Number86303-23-3
EC Number635-520-2
Safety Data
Hazard Symbolssymbol   Xi  Details
Risk StatementsR36/37/38  Details
Safety StatementsS26;S36  Details
Hazard Classification
up    Details
HazardClassCategory CodeHazard Statement
Skin irritationSkin Irrit.2H315
Eye irritationEye Irrit.2H319
Specific target organ toxicity - single exposureSTOT SE3H335
SDSAvailable
Market Analysis Reports
Related Products
5-Deoxy-L-arabi...  5-Deoxy-L-arabi...  Deoxyarbutin  2'-Deoxyarister...  Deoxyartemisini...  2'-Deoxy-5-azac...  1alpha-Deoxy-1a...  6alpha-Deoxy-6a...  6alpha-Deoxy-6a...  Deoxy-N-Benzyln...  2'-Deoxy-3',5'-...  2'-Deoxy-3',5'-...  2'-Deoxy-3',5'-...  2'-Deoxy-3',5'-...  6-[2-Deoxy-3,5-...  1-[2-Deoxy-3,5-...  2'-Deoxy-3',5'-...  N2-[1-Deoxy-2,3...  Deoxy Blebbista...  6-Deoxy-6-Bromo...