Online Database of Chemicals from Around the World

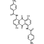
N,N'-(4,8-Dihydroxy-9,10-dioxo-9,10-dihydroanthracene-1,5-diyl)bis(4-methylbenzamide)
[CAS 84559-87-5]

Suppliers
CAS#: 84559-87-5
Product: N,N'-(4,8-Dihydroxy-9,10-dioxo-9,10-dihydroanthracene-1,5-diyl)bis(4-methylbenzamide)
No suppilers available for the product.
Identification
Name N,N'-(4,8-Dihydroxy-9,10-dioxo-9,10-dihydroanthracene-1,5-diyl)bis(4-methylbenzamide)
Synonyms N,N'-(9,10-dihydro-4,8-dihydroxy-9,10-dioxoanthracene-1,5-diyl)bis[4-methylbenzamide]
Molecular Structure CAS#: 84559-87-5, N,N'-(4,8-Dihydroxy-9,10-dioxo-9,10-dihydroanthracene-1,5-diyl)bis(4-methylbenzamide)
Molecular Formula C30H22N2O6
Molecular Weight 506.51
CAS Registry Number 84559-87-5
EINECS 283-173-7
SMILES Cc1ccc(cc1)C(=O)Nc4ccc(O)c3C(=O)c2c(ccc(O)c2C(=O)c34)NC(=O)c5ccc(C)cc5
InChI 1S/C30H22N2O6/c1-15-3-7-17(8-4-15)29(37)31-19-11-13-21(33)25-23(19)27(35)26-22(34)14-12-20(24(26)28(25)36)32-30(38)18-9-5-16(2)6-10-18/h3-14,33-34H,1-2H3,(H,31,37)(H,32,38)
InChIKey QFZQJMRTQPNEEZ-UHFFFAOYSA-N
Properties
Density 1.463g/cm3 (Cal.)
Boiling point 640.816°C at 760 mmHg (Cal.)
Flash point 341.354°C (Cal.)
Market Analysis Reports
Related Products
1,3-Dihydroxy-9...  2-[(1,4-Dihydro...  alpha,alpha'-Di...  1,1'-[[(2R,3R)-...  1,1'-(2,3-Dihyd...  2-[(1,4-Dihydro...  Dihydroxy-dioxo...  1,5-Dihydroxy-9...  N,N'-(4,8-Dihyd...  N,N'-(4,8-Dihyd...  3,4-Dihydroxy-9...  1-(5,8-Dihydrox...  4,6-Dihydroxy-5...  1,2-Dihydroxy-5...  (6R,7R)-7-[(5,6...  (4S,5S)-4,5-Dih...  [1-(5,8-Dihydro...  [1-(5,8-Dihydro...  [(3S,4S)-3,4-Di...  (16alpha)-16,17...