Online Database of Chemicals from Around the World

(2R,3S,4R,5R)-2,3,4,5-Tetrahydroxy-6-[(2R,3R,4S,5S,6R)-3,4,5-Trihydroxy-6-[[(3R,4S,5S,6R)-3,4,5-Trihydroxy-6-(Hydroxymethyl)Oxan-2-Yl]Oxymethyl]Oxan-2-Yl]Oxyhexanal
[CAS 81276-22-4]

Suppliers
CAS#: 81276-22-4
Product: (2R,3S,4R,5R)-2,3,4,5-Tetrahydroxy-6-[(2R,3R,4S,5S,6R)-3,4,5-Trihydroxy-6-[[(3R,4S,5S,6R)-3,4,5-Trihydroxy-6-(Hydroxymethyl)Oxan-2-Yl]Oxymethyl]Oxan-2-Yl]Oxyhexanal
No suppilers available for the product.
Identification
Name (2R,3S,4R,5R)-2,3,4,5-Tetrahydroxy-6-[(2R,3R,4S,5S,6R)-3,4,5-Trihydroxy-6-[[(3R,4S,5S,6R)-3,4,5-Trihydroxy-6-(Hydroxymethyl)Oxan-2-Yl]Oxymethyl]Oxan-2-Yl]Oxyhexanal
Synonyms (2R,3S,4R,5R)-2,3,4,5-Tetrahydroxy-6-[(2R,3R,4S,5S,6R)-3,4,5-Trihydroxy-6-[[(3R,4S,5S,6R)-3,4,5-Trihydroxy-6-(Hydroxymethyl)Tetrahydropyran-2-Yl]Oxymethyl]Tetrahydropyran-2-Yl]Oxy-Hexanal; (2R,3S,4R,5R)-2,3,4,5-Tetrahydroxy-6-[[(2R,3R,4S,5S,6R)-3,4,5-Trihydroxy-6-[[(3R,4S,5S,6R)-3,4,5-Trihydroxy-6-(Hydroxymethyl)-2-Tetrahydropyranyl]Oxymethyl]-2-Tetrahydropyranyl]Oxy]Hexanal; (2R,3S,4R,5R)-2,3,4,5-Tetrahydroxy-6-[(2R,3R,4S,5S,6R)-3,4,5-Trihydroxy-6-[[(3R,4S,5S,6R)-3,4,5-Trihydroxy-6-Methylol-Tetrahydropyran-2-Yl]Oxymethyl]Tetrahydropyran-2-Yl]Oxy-Hexanal
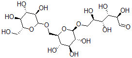
Molecular Structure CAS#: 81276-22-4, (2R,3S,4R,5R)-2,3,4,5-Tetrahydroxy-6-[(2R,3R,4S,5S,6R)-3,4,5-Trihydroxy-6-[[(3R,4S,5S,6R)-3,4,5-Trihydroxy-6-(Hydroxymethyl)Oxan-2-Yl]Oxymethyl]Oxan-2-Yl]Oxyhexanal
Molecular Formula C18H32O16
Molecular Weight 504.44
CAS Registry Number 81276-22-4
SMILES [C@@H]1(O[C@@H](OC[C@@H](O)[C@@H](O)[C@H](O)[C@@H](O)C=O)[C@H](O)[C@@H](O)[C@@H]1O)COC2O[C@@H]([C@@H](O)[C@H](O)[C@H]2O)CO
InChI 1S/C18H32O16/c19-1-5(21)9(23)10(24)6(22)3-31-17-16(30)14(28)12(26)8(34-17)4-32-18-15(29)13(27)11(25)7(2-20)33-18/h1,5-18,20-30H,2-4H2/t5-,6+,7+,8+,9+,10+,11+,12+,13-,14-,15+,16+,17+,18?/m0/s1
InChIKey FZWBNHMXJMCXLU-BCGMDATISA-N
Properties
Density 1.752g/cm3 (Cal.)
Boiling point 952.803°C at 760 mmHg (Cal.)
Flash point 327.714°C (Cal.)
Market Analysis Reports
Related Products
3beta,4alpha,5b...  [(2R,3S,4S,5R,6...  6,6',7,7'-Tetra...  5,5',6,6'-Tetra...  Tetrahydroxytit...  2,3,5,4'-Tetrah...  (2S,3S,4R,5R)-2...  (2R,3S,4S,5R)-2...  (2R,3S,4R,5R)-2...  (2R,3S,4R,5R)-3...  (2R,3S,4R,5R)-3...  (3beta,5alpha,7...  (3R,4S,5R)-3,4,...  (4R,12R,20R,28R...  2,3,7,19-Tetrah...  1,2,3,19-Tetrah...  2alpha,3alpha,1...  3,6,19,23-Tetra...  1,24,25,28-Tetr...  1,24,25,26-Tetr...