Online Database of Chemicals from Around the World

Carboxymethyl-Coenzyme A
[CAS 79955-48-9]

Suppliers
CAS#: 79955-48-9
Product: Carboxymethyl-Coenzyme A
No suppilers available for the product.
Identification
Name Carboxymethyl-Coenzyme A
Synonyms 2-[2-[3-[[(2R)-4-[[[(2R,3S,4R,5R)-5-(6-Aminopurin-9-Yl)-4-Hydroxy-3-Phosphonooxy-Tetrahydrofuran-2-Yl]Methoxy-Hydroxy-Phosphoryl]Oxy-Hydroxy-Phosphoryl]Oxy-2-Hydroxy-3,3-Dimethyl-Butanoyl]Amino]Propanoylamino]Ethylsulfanyl]Acetic Acid; 2-[2-[[3-[[(2R)-4-[[[(2R,3S,4R,5R)-5-(6-Amino-9-Purinyl)-4-Hydroxy-3-Phosphonooxy-2-Tetrahydrofuranyl]Methoxy-Hydroxyphosphoryl]Oxy-Hydroxyphosphoryl]Oxy-2-Hydroxy-3,3-Dimethyl-1-Oxobutyl]Amino]-1-Oxopropyl]Amino]Ethylthio]Acetic Acid; 2-[2-[3-[[(2R)-4-[[[(2R,3S,4R,5R)-5-(6-Aminopurin-9-Yl)-4-Hydroxy-3-Phosphonooxy-Tetrahydrofuran-2-Yl]Methoxy-Hydroxy-Phosphoryl]Oxy-Hydroxy-Phosphoryl]Oxy-2-Hydroxy-3,3-Dimethyl-Butanoyl]Amino]Propanoylamino]Ethylthio]Acetic Acid
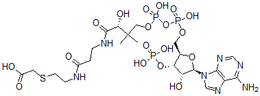
Molecular Structure CAS#: 79955-48-9, Carboxymethyl-Coenzyme A
Molecular Formula C23H38N7O18P3S
Molecular Weight 825.57
CAS Registry Number 79955-48-9
SMILES [C@H]1(O[C@@H]([C@@H](O[P](=O)(O)O)[C@H]1O)CO[P](O[P](OCC([C@@H](O)C(=O)NCCC(=O)NCCSCC(=O)O)(C)C)(=O)O)(=O)O)[N]2C3=C(N=C2)C(=NC=N3)N
InChI 1S/C23H38N7O18P3S/c1-23(2,18(35)21(36)26-4-3-13(31)25-5-6-52-8-14(32)33)9-45-51(42,43)48-50(40,41)44-7-12-17(47-49(37,38)39)16(34)22(46-12)30-11-29-15-19(24)27-10-28-20(15)30/h10-12,16-18,22,34-35H,3-9H2,1-2H3,(H,25,31)(H,26,36)(H,32,33)(H,40,41)(H,42,43)(H2,24,27,28)(H2,37,38,39)/t12-,16-,17-,18+,22-/m1/s1
InChIKey OBUOSIHPWVNVJN-GRFIIANRSA-N
Properties
Density 1.95g/cm3 (Cal.)
Market Analysis Reports
Related Products
2-[Carboxymethy...  Carboxymethylce...  Carboxymethyl c...  (R)-De(carboxym...  Carboxymethyl C...  6-O-Carboxymeth...  O,N-Carboxymeth...  Carboxymethyl c...  2-(Carboxymethy...  Co-(Carboxymeth...  Carboxymethyl C...  6-[(3-{[(6-Carb...  2-(Carboxymethy...  1-[[[(1R)-1-[3-...  1-[[[(1R)-1-[3-...  S-(Carboxymethy...  N-(Carboxymethy...  S-(Carboxymethy...  S-(Carboxymethy...  S-Carboxymethyl...