| Synonyms |
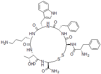
(4R,7S,10S,13S,16S,19R)-10-(4-Aminobutyl)-19-[[(2S)-2-Amino-3-Phenyl-Propanoyl]Amino]-7-(1-Hydroxyethyl)-13-(1H-Indol-3-Ylmethyl)-6,9,12,15,18-Pentaoxo-16-(Phenylmethyl)-1,2-Dithia-5,8,11,14,17-Pentazacycloicosane-4-Carboxamide; (4R,7S,10S,13S,16S,19R)-10-(4-Aminobutyl)-19-[[(2S)-2-Amino-1-Oxo-3-Phenylpropyl]Amino]-7-(1-Hydroxyethyl)-13-(1H-Indol-3-Ylmethyl)-6,9,12,15,18-Pentaoxo-16-(Phenylmethyl)-1,2-Dithia-5,8,11,14,17-Pentazacycloicosane-4-Carboxamide; (4R,7S,10S,13S,16S,19R)-10-(4-Aminobutyl)-19-[[(2S)-2-Amino-3-Phenyl-Propanoyl]Amino]-16-(Benzyl)-7-(1-Hydroxyethyl)-13-(1H-Indol-3-Ylmethyl)-6,9,12,15,18-Pentaketo-1,2-Dithia-5,8,11,14,17-Pentazacycloicosane-4-Carboxamide |
| InChI |
1S/C45H58N10O8S2/c1-26(56)38-45(63)53-36(39(48)57)24-64-65-25-37(54-40(58)31(47)20-27-12-4-2-5-13-27)44(62)51-34(21-28-14-6-3-7-15-28)42(60)52-35(22-29-23-49-32-17-9-8-16-30(29)32)43(61)50-33(41(59)55-38)18-10-11-19-46/h2-9,12-17,23,26,31,33-38,49,56H,10-11,18-22,24-25,46-47H2,1H3,(H2,48,57)(H,50,61)(H,51,62)(H,52,60)(H,53,63)(H,54,58)(H,55,59)/t26-,31+,33+,34+,35+,36+,37+,38+/m1/s1 |