Online Database of Chemicals from Around the World

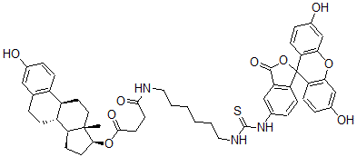
[(8R,9S,13S,14S,17S)-3-Hydroxy-13-Methyl-6,7,8,9,11,12,14,15,16,17-Decahydrocyclopenta[a]Phenanthren-17-Yl] 4-[6-[(3',6'-Dihydroxy-3-Oxospiro[2-Benzofuran-1,9'-Xanthene]-5-Yl)Carbamothioylamino]Hexylamino]-4-Oxobutanoate
[CAS 78232-36-7]

Suppliers
CAS#: 78232-36-7
Product: [(8R,9S,13S,14S,17S)-3-Hydroxy-13-Methyl-6,7,8,9,11,12,14,15,16,17-Decahydrocyclopenta[a]Phenanthren-17-Yl] 4-[6-[(3',6'-Dihydroxy-3-Oxospiro[2-Benzofuran-1,9'-Xanthene]-5-Yl)Carbamothioylamino]Hexylamino]-4-Oxobutanoate
No suppilers available for the product.
Identification
Name [(8R,9S,13S,14S,17S)-3-Hydroxy-13-Methyl-6,7,8,9,11,12,14,15,16,17-Decahydrocyclopenta[a]Phenanthren-17-Yl] 4-[6-[(3',6'-Dihydroxy-3-Oxospiro[2-Benzofuran-1,9'-Xanthene]-5-Yl)Carbamothioylamino]Hexylamino]-4-Oxobutanoate
Synonyms [(8R,9S,13S,14S,17S)-3-Hydroxy-13-Methyl-6,7,8,9,11,12,14,15,16,17-Decahydrocyclopenta[A]Phenanthren-17-Yl] 4-[6-[(3',6'-Dihydroxy-3-Oxo-Spiro[Isobenzofuran-1,9'-Xanthene]-5-Yl)Carbamothioylamino]Hexylamino]-4-Oxo-Butanoate; 4-[6-[[[(3',6'-Dihydroxy-3-Oxo-5-Spiro[Isobenzofuran-1,9'-Xanthene]Yl)Amino]-Thioxomethyl]Amino]Hexylamino]-4-Oxobutanoic Acid [(8R,9S,13S,14S,17S)-3-Hydroxy-13-Methyl-6,7,8,9,11,12,14,15,16,17-Decahydrocyclopenta[A]Phenanthren-17-Yl] Ester; 4-[6-[(3',6'-Dihydroxy-3-Keto-Spiro[Isobenzofuran-1,9'-Xanthene]-5-Yl)Thiocarbamoylamino]Hexylamino]-4-Keto-Butyric Acid [(8R,9S,13S,14S,17S)-3-Hydroxy-13-Methyl-6,7,8,9,11,12,14,15,16,17-Decahydrocyclopenta[A]Phenanthren-17-Yl] Ester
Molecular Structure CAS#: 78232-36-7, [(8R,9S,13S,14S,17S)-3-Hydroxy-13-Methyl-6,7,8,9,11,12,14,15,16,17-Decahydrocyclopenta[a]Phenanthren-17-Yl] 4-[6-[(3',6'-Dihydroxy-3-Oxospiro[2-Benzofuran-1,9'-Xanthene]-5-Yl)Carbamothioylamino]Hexylamino]-4-Oxobutanoate
Molecular Formula C49H53N3O9S
Molecular Weight 860.03
CAS Registry Number 78232-36-7
SMILES [C@H]39[C@H]1[C@@H](C2=C(CC1)C=C(O)C=C2)CC[C@@]3([C@@H](OC(=O)CCC(=O)NCCCCCCNC(=S)NC8=CC4=C(C5(OC4=O)C7=C(OC6=C5C=CC(=C6)O)C=C(O)C=C7)C=C8)CC9)C
InChI 1S/C49H53N3O9S/c1-48-21-20-34-33-12-8-30(53)24-28(33)6-11-35(34)37(48)16-17-43(48)60-45(57)19-18-44(56)50-22-4-2-3-5-23-51-47(62)52-29-7-13-38-36(25-29)46(58)61-49(38)39-14-9-31(54)26-41(39)59-42-27-32(55)10-15-40(42)49/h7-10,12-15,24-27,34-35,37,43,53-55H,2-6,11,16-23H2,1H3,(H,50,56)(H2,51,52,62)/t34-,35-,37+,43+,48+/m1/s1
InChIKey YQSULOORPKVMQL-HYJFRMKFSA-N
Properties
Density 1.425g/cm3 (Cal.)
Market Analysis Reports
Related Products
{[2-(Hydroxymet...  [[[1-(Hydroxyme...  2-({Hydroxy[(2-...  4-(1-(HydroxyMe...  trans-4-[2-(Hyd...  5-(Hydroxymethy...  (17beta)-17-Hyd...  (5beta,17beta)-...  2-Hydroxy-2-met...  4-[[(13S,17S)-3...  [(8R,9S,13S,14S...  [(8R,9S,13S,14S...  [(8R,9S,13S,14S...  2-[(17-Hydroxy-...  1-[(1R,4aR,8aR)...  1-[(1R,4aS,8aS)...  8a-Hydroxy-4a-M...  N2-(3-Hydroxy-1...  4-Hydroxymethyl...  5-Hydroxymethyl...