Online Database of Chemicals from Around the World

[2-[2-[2-[[6-Amino-2-[3-Amino-1-[(2,3-Diamino-3-Oxopropyl)Amino]-3-Oxopropyl]-5-Methylpyrimidine-4-Carbonyl]Amino]-3-[[5-[[1-[[1-(5-Amino-3,4-Dihydroxy-6-Methyloxan-2-Yl)Oxy-2-[4-[4-[[4-Amino-6-(3-Methylaminopropylamino)-6-Oxohexyl]Carbamoyl]-1,3-Thiazol-2-Yl]-1,3-Thiazol-2-Yl]-2-Hydroxyethyl]Amino]-3-Hydroxy-1-Oxobutan-2-Yl]Amino]-3-Hydroxy-5-Oxopentan-2-Yl]Amino]-1-(3H-Imidazol-4-Yl)-3-Oxopropoxy]-4,5-Dihydroxy-6-(Hydroxymethyl)Oxan-3-Yl]Oxy-3,5-Dihydroxy-6-(Hydroxymethyl)Oxan-4-Yl] Carbamate
[CAS 77368-67-3]

Suppliers
CAS#: 77368-67-3
Product: [2-[2-[2-[[6-Amino-2-[3-Amino-1-[(2,3-Diamino-3-Oxopropyl)Amino]-3-Oxopropyl]-5-Methylpyrimidine-4-Carbonyl]Amino]-3-[[5-[[1-[[1-(5-Amino-3,4-Dihydroxy-6-Methyloxan-2-Yl)Oxy-2-[4-[4-[[4-Amino-6-(3-Methylaminopropylamino)-6-Oxohexyl]Carbamoyl]-1,3-Thiazol-2-Yl]-1,3-Thiazol-2-Yl]-2-Hydroxyethyl]Amino]-3-Hydroxy-1-Oxobutan-2-Yl]Amino]-3-Hydroxy-5-Oxopentan-2-Yl]Amino]-1-(3H-Imidazol-4-Yl)-3-Oxopropoxy]-4,5-Dihydroxy-6-(Hydroxymethyl)Oxan-3-Yl]Oxy-3,5-Dihydroxy-6-(Hydroxymethyl)Oxan-4-Yl] Carbamate
No suppilers available for the product.
Identification
Name [2-[2-[2-[[6-Amino-2-[3-Amino-1-[(2,3-Diamino-3-Oxopropyl)Amino]-3-Oxopropyl]-5-Methylpyrimidine-4-Carbonyl]Amino]-3-[[5-[[1-[[1-(5-Amino-3,4-Dihydroxy-6-Methyloxan-2-Yl)Oxy-2-[4-[4-[[4-Amino-6-(3-Methylaminopropylamino)-6-Oxohexyl]Carbamoyl]-1,3-Thiazol-2-Yl]-1,3-Thiazol-2-Yl]-2-Hydroxyethyl]Amino]-3-Hydroxy-1-Oxobutan-2-Yl]Amino]-3-Hydroxy-5-Oxopentan-2-Yl]Amino]-1-(3H-Imidazol-4-Yl)-3-Oxopropoxy]-4,5-Dihydroxy-6-(Hydroxymethyl)Oxan-3-Yl]Oxy-3,5-Dihydroxy-6-(Hydroxymethyl)Oxan-4-Yl] Carbamate
Synonyms [2-[2-[2-[[6-Amino-2-[3-Amino-1-[(2,3-Diamino-3-Oxo-Propyl)Amino]-3-Oxo-Propyl]-5-Methyl-Pyrimidin-4-Yl]Carbonylamino]-3-[[5-[[1-[[1-(5-Amino-3,4-Dihydroxy-6-Methyl-Oxan-2-Yl)Oxy-2-[4-[4-[[4-Amino-6-(3-Methylaminopropylamino)-6-Oxo-Hexyl]Carbamoyl]-1,3-Thiazol-2-Yl]-1,3-Thiazol-2-Yl]-2-Hydroxy-Ethyl]Amino]-3-Hydroxy-1-Oxo-Butan-2-Yl]Amino]-3-Hydroxy-5-Oxo-Pentan-2-Yl]Amino]-1-(3H-Imidazol-4-Yl)-3-Oxo-Propoxy]-4,5-Dihydroxy-6-(Hydroxymethyl)Oxan-3-Yl]Oxy-3,5-Dihydroxy-6-(Hydroxymethyl)Oxan-4-Yl] Carbamate; Bleomycinamide, 13-((4-Amino-4,6-Dideoxy-Alpha-L-Talopyranosyl)Oxy)-N(Sup 1)-(4-Amino-5((3-(Methylamino)Propyl)Carbamoyl)Pentyl)-19-Demethyl-12-Hydroxy-, Copper Complex; Tallysomycin S(Sub 11A) Copper Complex
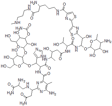
Molecular Structure CAS#: 77368-67-3, [2-[2-[2-[[6-Amino-2-[3-Amino-1-[(2,3-Diamino-3-Oxopropyl)Amino]-3-Oxopropyl]-5-Methylpyrimidine-4-Carbonyl]Amino]-3-[[5-[[1-[[1-(5-Amino-3,4-Dihydroxy-6-Methyloxan-2-Yl)Oxy-2-[4-[4-[[4-Amino-6-(3-Methylaminopropylamino)-6-Oxohexyl]Carbamoyl]-1,3-Thiazol-2-Yl]-1,3-Thiazol-2-Yl]-2-Hydroxyethyl]Amino]-3-Hydroxy-1-Oxobutan-2-Yl]Amino]-3-Hydroxy-5-Oxopentan-2-Yl]Amino]-1-(3H-Imidazol-4-Yl)-3-Oxopropoxy]-4,5-Dihydroxy-6-(Hydroxymethyl)Oxan-3-Yl]Oxy-3,5-Dihydroxy-6-(Hydroxymethyl)Oxan-4-Yl] Carbamate
Molecular Formula C65H103N21O27S2
Molecular Weight 1674.77
CAS Registry Number 77368-67-3
SMILES C1=C(N=C(S1)C(C(NC(C(C(C)O)NC(CC(C(NC(C(C(C2=CN=C[NH]2)OC3C(C(C(C(O3)CO)O)O)OC4OC(C(C(C4O)OC(N)=O)O)CO)NC(C5=NC(=NC(=C5C)N)C(NCC(C(N)=O)N)CC(N)=O)=O)=O)C)O)=O)=O)OC6C(C(C(C(O6)C)N)O)O)O)C7=NC(=CS7)C(NCCCC(CC(NCCCNC)=O)N)=O
InChI 1S/C65H103N21O27S2/c1-22-39(83-54(85-52(22)70)28(13-35(68)91)77-15-27(67)53(71)101)56(103)84-41(49(29-16-74-21-78-29)110-64-51(45(97)42(94)33(17-87)109-64)111-63-47(99)50(112-65(72)106)43(95)34(18-88)108-63)58(105)79-23(2)32(90)14-37(93)82-40(24(3)89)57(104)86-59(113-62-46(98)44(96)38(69)25(4)107-62)48(100)61-81-31(20-115-61)60-80-30(19-114-60)55(102)76-10-6-8-26(66)12-36(92)75-11-7-9-73-5/h16,19-21,23-28,32-34,38,40-51,59,62-64,73,77,87-90,94-100H,6-15,17-18,66-67,69H2,1-5H3,(H2,68,91)(H2,71,101)(H2,72,106)(H,74,78)(H,75,92)(H,76,102)(H,79,105)(H,82,93)(H,84,103)(H,86,104)(H2,70,83,85)
InChIKey JOUZMHNMGBYITL-UHFFFAOYSA-N
Properties
Density 1.605g/cm3 (Cal.)
Market Analysis Reports
Related Products
2-Amino-3-[2-[2...  (2S)-N-[(2S)-6-...  (2S)-2-[[(2S)-2...  (2R)-2-Amino-3-...  6-Amino-2-[(1S)...  [2-[2-[2-[[6-Am...  [2-[2-[2-[[6-Am...  [2-[2-[2-[[6-Am...  [2-[2-[2-[[6-Am...  [2-[2-[2-[[6-Am...  [2-[2-[2-[[6-Am...  [2-[2-[2-[[6-Am...  [2-[2-[2-[[6-Am...  [2-[2-[2-[[6-Am...  [2-[2-[2-[[6-Am...  [2-[2-[2-[[6-Am...  [2-[2-[2-[[6-Am...  [2-[2-[2-[[6-Am...  (4S)-4-Amino-5-...  (2S)-2-Amino-4-...