Online Database of Chemicals from Around the World

Antibiotic C 15003Pnd-2
[CAS 77353-68-5]

Suppliers
CAS#: 77353-68-5
Product: Antibiotic C 15003Pnd-2
No suppilers available for the product.
Identification
Name Antibiotic C 15003Pnd-2
Synonyms Maytansine, 2'-De(Acetylmethylamino)-22-Demethyl-
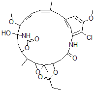
Molecular Structure CAS#: 77353-68-5, Antibiotic C 15003Pnd-2
Molecular Formula C30H39ClN2O9
Molecular Weight 607.10
CAS Registry Number 77353-68-5
SMILES C(C(OC4C1(OC1C(C2OC(=O)NC(O)(C2)C(OC)\C=C\C=C(CC3=CC(=C(Cl)C(=C3)OC)NC(=O)C4)/C)C)C)=O)C
InChI 1S/C30H39ClN2O9/c1-7-25(35)41-23-14-24(34)32-19-12-18(13-20(38-5)26(19)31)11-16(2)9-8-10-22(39-6)30(37)15-21(40-28(36)33-30)17(3)27-29(23,4)42-27/h8-10,12-13,17,21-23,27,37H,7,11,14-15H2,1-6H3,(H,32,34)(H,33,36)/b10-8+,16-9+
InChIKey IZWRFNLCEHGRDX-VYWHLGQJSA-N
Market Analysis Reports
Related Products
Antibiotic A-40...  Antibiotic U 21...  Antibiotic P42-...  Antibiotic alph...  Antibiotic A 13...  Antibiotic T 23...  Antibiotic M144...  (+)-Antibiotic ...  Antibiotic K 25...  Antibiotic C 15...  Antibiotic C 15...  Antibiotic B 17...  Antibiotic X 20...  Antibiotic G 2A...  Antibiotic G 2N...  Antibiotic 333-...  Antibiotic 3829...  Antibiotic A 40...  Antibiotic K 41...  Antibiotic BM 1...