Online Database of Chemicals from Around the World

Conotoxin GII
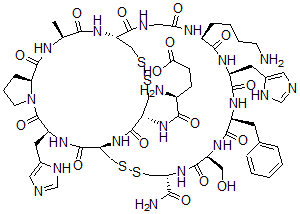
[CAS 76862-66-3]

Suppliers
CAS#: 76862-66-3
Product: Conotoxin GII
No suppilers available for the product.
Identification
Name Conotoxin GII
Synonyms Conotoxin G I, 4-L-Histidine-9-L-Lysine-11-L-Phenylalanine-; Conotoxin G Ii
Molecular Structure CAS#: 76862-66-3, Conotoxin GII
Molecular Formula C57H81N19O16S4
Molecular Weight 1416.62
CAS Registry Number 76862-66-3
SMILES [C@@H]25C(N[C@H](C(N1CCC[C@H]1C(N[C@H](C(N[C@H](C(NCC(N[C@@H](CCCCN)C(N[C@H](C(N[C@H](C(N[C@H](C(=O)N[C@H](C(=O)N)CSSC2)CO)=O)CC3=CC=CC=C3)=O)CC4=CN=C[NH]4)=O)=O)=O)CSSC[C@@H](C(=O)N5)NC([C@H](CCC(=O)O)N)=O)=O)C)=O)=O)CC6=CN=C[NH]6)=O
InChI 1S/C57H81N19O16S4/c1-29-47(82)73-40-24-94-96-25-41(74-48(83)33(59)12-13-45(79)80)55(90)75-42(54(89)70-37(18-32-20-62-28-65-32)57(92)76-15-7-11-43(76)56(91)66-29)26-95-93-23-39(46(60)81)72-53(88)38(22-77)71-51(86)35(16-30-8-3-2-4-9-30)68-52(87)36(17-31-19-61-27-64-31)69-50(85)34(10-5-6-14-58)67-44(78)21-63-49(40)84/h2-4,8-9,19-20,27-29,33-43,77H,5-7,10-18,21-26,58-59H2,1H3,(H2,60,81)(H,61,64)(H,62,65)(H,63,84)(H,66,91)(H,67,78)(H,68,87)(H,69,85)(H,70,89)(H,71,86)(H,72,88)(H,73,82)(H,74,83)(H,75,90)(H,79,80)/t29-,33-,34-,35-,36-,37-,38-,39-,40-,41-,42-,43-/m0/s1
InChIKey GBQKLTZKGNZVHO-PVGVDLJESA-N
Properties
Density 1.528g/cm3 (Cal.)
Boiling point 1976.168°C at 760 mmHg (Cal.)
Flash point 1148.945°C (Cal.)
Market Analysis Reports
Related Products
Conjugated Estr...  Conjugated Lino...  Conjugated lino...  Connective Tiss...  Conocandin;2-[(...  (+)-Conocarpan;...  Conocarpan acet...  Conopharyngine;...  Conophylline;Vi...  Conorphone;Cono...  mu-Conotoxin Gi...  omega-Conotoxin...  Conotoxin G I  2-13-Conotoxin ...  M-Conotoxin G I...  alpha-Conotoxin...  Conotoxin PIA;a...  Conotoxin M I (...  alpha-Conotoxin...  Conotoxin G V;C...