|
CAS#: 75993-96-3 Product: (2,2'-L-Serine)-Gramicidin S No suppilers available for the product. |
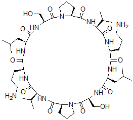
| Name | (2,2'-L-Serine)-Gramicidin S |
|---|---|
| Synonyms | (Ser(2,2'))-Gs; Gramicidin S, 2-L-Serine-7-L-Serine- |
| Molecular Structure | ![]() |
| Molecular Formula | C48H84N12O12 |
| Molecular Weight | 1021.26 |
| CAS Registry Number | 75993-96-3 |
| SMILES | [C@@H]13N(C(=O)[C@@H](NC(=O)[C@@H](NC(=O)[C@@H](NC(=O)[C@@H](NC(=O)[C@H]2N(C(=O)[C@@H](NC(=O)[C@@H](NC(=O)[C@@H](NC(=O)[C@@H](NC1=O)C(C)C)CCCN)CC(C)C)CO)CCC2)C(C)C)CCCN)CC(C)C)CO)CCC3 |
| InChI | 1S/C48H84N12O12/c1-25(2)21-31-41(65)55-33(23-61)47(71)59-19-11-15-35(59)43(67)58-38(28(7)8)46(70)52-30(14-10-18-50)40(64)54-32(22-26(3)4)42(66)56-34(24-62)48(72)60-20-12-16-36(60)44(68)57-37(27(5)6)45(69)51-29(13-9-17-49)39(63)53-31/h25-38,61-62H,9-24,49-50H2,1-8H3,(H,51,69)(H,52,70)(H,53,63)(H,54,64)(H,55,65)(H,56,66)(H,57,68)(H,58,67)/t29-,30-,31-,32-,33-,34-,35-,36-,37-,38-/m0/s1 |
| InChIKey | HKFAPAJSPVVFOZ-YRYMBYOHSA-N |
| Density | 1.278g/cm3 (Cal.) |
|---|---|
| Boiling point | 1385.506°C at 760 mmHg (Cal.) |
| Flash point | 791.725°C (Cal.) |
| Market Analysis Reports |