Online Database of Chemicals from Around the World

Prosapogenin CP4
[CAS 75799-18-7]

List of Suppliers
Chengdu Must Bio-technology Co., Ltd. China
www.cdmust.com
+86 (28) 8528-7229
+86 (28) 8738-4368
anniedai0203@gmail.com
Chemical manufacturer since 2007
chemBlink Standard supplier since 2012
Chengdu Biopurify Phytochemicals Ltd. China
www.phytopurify.com
+86 (28) 8263-3860
8263-3987
+86 (28) 8263-3165
sales@biopurify.com
biopurify@gmail.com
QQ Chat
Skype Chat
Chemical manufacturer
chemBlink Standard supplier since 2017
Indofine Chemical Company, Inc. USA
www.indofinechemical.com
+1 (888) 463-6346
+1 (908) 359-1179
info@indofinechemical.com
Chemical manufacturer since 1981

Identification
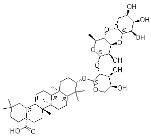
NameProsapogenin CP4
Molecular StructureProsapogenin CP4 molecular structure (CAS 75799-18-7)
Molecular FormulaC46H74O15
Molecular Weight867.07
CAS Registry Number75799-18-7
Properties
SolubilityInsoluble (7.3E-4 g/L) (25 °C), Calc.*
Density1.35±0.1 g/cm3 (20 °C 760 Torr), Calc.*
*Calculated using Advanced Chemistry Development (ACD/Labs) Software V11.02 (©1994-2013 ACD/Labs)
Market Analysis Reports
Related Products
Propyphenazone-...  Propyrisulfuron  Propyzamide  Proquazone  Proquinolate  Prorenoate Pota...  Prorenone  Prosaikogenin A  Prosaikogenin F  Prosapogenin A  Prosapogenin (G...  Proscillaridin ...  Prospidium chlo...  Prosta-Capsules  Prostacyclin  Prostacyclin so...  (5Z,9alpha,11al...  Prostaglandin B...  Prostaglandin A...  (+-)-Prostaglan...