| Ryan Scientific, Inc. | USA | |||
|---|---|---|---|---|
![]() |
+1 (843)-884-4911 | |||
![]() |
sales@ryansci.com | |||
| Chemical manufacturer | ||||
| Specs Ltd. | Netherlands | |||
|---|---|---|---|---|
![]() |
+31 (15) 251-8111 | |||
![]() |
info@specs.net | |||
| Chemical manufacturer since 1987 | ||||
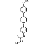
| Name | N-{4-[4-(4-Methoxyphenyl)-1-piperazinyl]phenyl}hydrazinecarboxamide |
|---|---|
| Synonyms | 4-{[4-(4- |
| Molecular Structure | ![]() |
| Molecular Formula | C18H23N5O2 |
| Molecular Weight | 341.41 |
| CAS Registry Number | 74852-89-4 |
| SMILES | COC1=CC=C(C=C1)N2CCN(CC2)C3=CC=C(C=C3)NC(=O)NN |
| InChI | 1S/C18H23N5O2/c1-25-17-8-6-16(7-9-17)23-12-10-22(11-13-23)15-4-2-14(3-5-15)20-18(24)21-19/h2-9H,10-13,19H2,1H3,(H2,20,21,24) |
| InChIKey | SJJKOFVYSSHYQQ-UHFFFAOYSA-N |
| Density | 1.3±0.1g/cm3 (Cal.) |
|---|---|
| Market Analysis Reports |