Online Database of Chemicals from Around the World

Cucumarioside
[CAS 74434-21-2]

Suppliers
CAS#: 74434-21-2
Product: Cucumarioside
No suppilers available for the product.
Identification
Name Cucumarioside
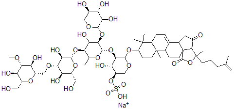
Molecular Structure CAS#: 74434-21-2, Cucumarioside
Molecular Formula C59H92NaO29S
Molecular Weight 1320.41
CAS Registry Number 74434-21-2
SMILES [C@H]%10(O[C@@H]3OC([C@@H](O[C@@H]2O[C@@H]([C@@H](O)[C@H](OC[C@@H]1O[C@@H]([C@@H](O)[C@H](OC)[C@H]1O)CO)[C@H]2O)CO)C(O)[C@H]3O[C@@H]4OC[C@@H](O)[C@H](O)[C@H]4O)C)C(OC9C(C5C(C8C(=CC5)C7C6(C(C(OC6=O)(CCCC(=C)C)C)C(=O)C7)CC8)(CC9)C)(C)C)OC[C@@H](O[S](O)(=O)=O)[C@@H]%10O.[Na+]
InChI 1S/C59H92O29S.Na/c1-24(2)10-9-15-58(7)50-29(62)18-28-26-11-12-35-56(4,5)36(14-16-57(35,6)27(26)13-17-59(28,50)55(72)87-58)83-53-48(41(68)34(23-79-53)88-89(73,74)75)86-54-49(85-51-42(69)37(64)30(63)21-78-51)43(70)45(25(3)80-54)84-52-44(71)47(39(66)32(20-61)82-52)77-22-33-40(67)46(76-8)38(65)31(19-60)81-33;/h11,25,27-28,30-54,60-61,63-71H,1,9-10,12-23H2,2-8H3,(H,73,74,75);/q;+1/t25?,27?,28?,30-,31-,32-,33+,34-,35?,36?,37+,38-,39-,40+,41+,42-,43?,44-,45-,46+,47+,48-,49-,50?,51+,52+,53?,54+,57?,58?,59?;/m1./s1
InChIKey YWZXFPFTUVPZAG-CIFPWLDHSA-N
Market Analysis Reports
Related Products
1-Cubanecarboxy...  1,4-Cubanediami...  1,4-Cubanedicar...  1,4-Cubanedicar...  Cubebene;4-Isop...  (-)-alpha-Cubeb...  Cubebin;(2S,3R,...  Cubebinolide;(3...  CU-CPT-8m;CU-CP...  CU CPT 22;CU-CP...  Cucumegastigman...  Cucumis melo ex...  Cucumis sativus...  Cucurbitacin Q1...  Cucurbitacin B  Cucurbitacin C;...  Cucurbitacin D;...  Cucurbitacin E;...  Cucurbitacine A...  Cucurbitacin F;...