Online Database of Chemicals from Around the World

N-[(Z)-1-[[12-(3-Amino-3-Oxopropyl)-3-[3-(Diaminomethylideneamino)Propyl]-6,21-Bis(1-Hydroxyethyl)-7,25-Dimethyl-18-(2-Methylpropyl)-2,5,8,11,14,17,20,23-Octaoxo-1-Oxa-4,7,10,13,16,19,22-Heptazacyclopentacos-24-Yl]Amino]-1-Oxobut-2-En-2-Yl]-3-Hydroxytetradecanamide
[CAS 74188-24-2]

Suppliers
CAS#: 74188-24-2
Product: N-[(Z)-1-[[12-(3-Amino-3-Oxopropyl)-3-[3-(Diaminomethylideneamino)Propyl]-6,21-Bis(1-Hydroxyethyl)-7,25-Dimethyl-18-(2-Methylpropyl)-2,5,8,11,14,17,20,23-Octaoxo-1-Oxa-4,7,10,13,16,19,22-Heptazacyclopentacos-24-Yl]Amino]-1-Oxobut-2-En-2-Yl]-3-Hydroxytetradecanamide
No suppilers available for the product.
Identification
Name N-[(Z)-1-[[12-(3-Amino-3-Oxopropyl)-3-[3-(Diaminomethylideneamino)Propyl]-6,21-Bis(1-Hydroxyethyl)-7,25-Dimethyl-18-(2-Methylpropyl)-2,5,8,11,14,17,20,23-Octaoxo-1-Oxa-4,7,10,13,16,19,22-Heptazacyclopentacos-24-Yl]Amino]-1-Oxobut-2-En-2-Yl]-3-Hydroxytetradecanamide
Synonyms N-[(Z)-1-[[12-(3-Amino-3-Oxo-Propyl)-3-(3-Guanidinopropyl)-6,21-Bis(1-Hydroxyethyl)-18-Isobutyl-7,25-Dimethyl-2,5,8,11,14,17,20,23-Octaoxo-1-Oxa-4,7,10,13,16,19,22-Heptazacyclopentacos-24-Yl]Carbamoyl]Prop-1-Enyl]-3-Hydroxy-Tetradecanamide; N-[(Z)-1-[[[12-(3-Amino-3-Oxopropyl)-3-(3-Guanidinopropyl)-6,21-Bis(1-Hydroxyethyl)-18-Isobutyl-7,25-Dimethyl-2,5,8,11,14,17,20,23-Octaoxo-1-Oxa-4,7,10,13,16,19,22-Heptazacyclopentacos-24-Yl]Amino]-Oxomethyl]Prop-1-Enyl]-3-Hydroxytetradecanamide; N-[(Z)-1-[[12-(3-Amino-3-Keto-Propyl)-3-(3-Guanidinopropyl)-6,21-Bis(1-Hydroxyethyl)-18-Isobutyl-2,5,8,11,14,17,20,23-Octaketo-7,25-Dimethyl-1-Oxa-4,7,10,13,16,19,22-Heptazacyclopentacos-24-Yl]Carbamoyl]Prop-1-Enyl]-3-Hydroxy-Myristamide
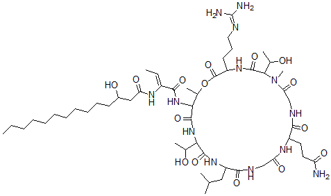
Molecular Structure CAS#: 74188-24-2, N-[(Z)-1-[[12-(3-Amino-3-Oxopropyl)-3-[3-(Diaminomethylideneamino)Propyl]-6,21-Bis(1-Hydroxyethyl)-7,25-Dimethyl-18-(2-Methylpropyl)-2,5,8,11,14,17,20,23-Octaoxo-1-Oxa-4,7,10,13,16,19,22-Heptazacyclopentacos-24-Yl]Amino]-1-Oxobut-2-En-2-Yl]-3-Hydroxytetradecanamide
Molecular Formula C52H91N13O15
Molecular Weight 1138.37
CAS Registry Number 74188-24-2
SMILES C(CCCCCCC)CCCC(O)CC(=O)NC(/C(=O)NC1C(OC(=O)C(NC(=O)C(N(C(=O)CNC(=O)C(NC(=O)CNC(=O)C(NC(=O)C(NC1=O)C(O)C)CC(C)C)CCC(=O)N)C)C(O)C)CCCN=C(N)N)C)=C\C
InChI 1S/C52H91N13O15/c1-9-11-12-13-14-15-16-17-18-20-33(68)26-39(70)59-34(10-2)47(75)64-43-32(7)80-51(79)36(21-19-24-56-52(54)55)61-50(78)44(31(6)67)65(8)41(72)28-58-45(73)35(22-23-38(53)69)60-40(71)27-57-46(74)37(25-29(3)4)62-48(76)42(30(5)66)63-49(43)77/h10,29-33,35-37,42-44,66-68H,9,11-28H2,1-8H3,(H2,53,69)(H,57,74)(H,58,73)(H,59,70)(H,60,71)(H,61,78)(H,62,76)(H,63,77)(H,64,75)(H4,54,55,56)/b34-10-
InChIKey YFNLBROYERMWJP-FWBDCHAOSA-N
Properties
Density 1.352g/cm3 (Cal.)
Market Analysis Reports
Related Products
(3-Amino-2-Oxo-...  2-[(3-Amino-3-o...  2-((5-(((5-(((3...  N-(3-Amino-3-Ox...  (1R,2S,4R,5R,6R...  3-(3-Amino-3-ox...  4-(3-Amino-3-ox...  N-[2-[(3-Amino-...  N-(3-Amino-3-ox...  3-(3-Amino-3-ox...  N-[(E)-1-[[12-(...  3-(3-Amino-3-Ox...  3-(3-Amino-3-Ox...  1-(3-Amino-3-Ox...  (5E)-2-Amino-5-...  N-(3-Amino-3-ox...  [2S-[1(R*),2alp...  N-[2-[(3-Amino-...  3-[(3-Amino-3-O...  [(2R,3S)-3-(2-A...