|
CAS#: 73398-72-8 Product: 4-(2,6-dichloro-alpha-(4-imino-3,5-dimethyl-2,5-cyclohexadien-1-ylidene)benzyl)-2,6-Xylidine dihydrogen phosphate compd. with isopropanol No suppilers available for the product. |
| Name | 4-(2,6-dichloro-alpha-(4-imino-3,5-dimethyl-2,5-cyclohexadien-1-ylidene)benzyl)-2,6-Xylidine dihydrogen phosphate compd. with isopropanol |
|---|---|
| Synonyms | 4-[(2,6-Dichlorophenyl)-(4-Imino-3,5-Dimethyl-1-Cyclohexa-2,5-Dienylidene)Methyl]-2,6-Dimethyl-Aniline; 4-[(2,6-Dichlorophenyl)-(4-Imino-3,5-Dimethyl-1-Cyclohexa-2,5-Dienylidene)Methyl]-2,6-Dimethyl-Aniline; Phosphoric Acid; Propan-2-Ol; [4-[(2,6-Dichlorophenyl)-(4-Imino-3,5-Dimethyl-1-Cyclohexa-2,5-Dienylidene)Methyl]-2,6-Dimethyl-Phenyl]Amine; [4-[(2,6-Dichlorophenyl)-(4-Imino-3,5-Dimethyl-1-Cyclohexa-2,5-Dienylidene)Methyl]-2,6-Dimethyl-Phenyl]Amine |
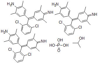
| Molecular Structure | ![]() |
| Molecular Formula | C72H77Cl6N6O5P |
| Molecular Weight | 1350.13 |
| CAS Registry Number | 73398-72-8 |
| SMILES | C3=C(C(C1=C(Cl)C=CC=C1Cl)=C2C=C(C(=N)C(=C2)C)C)C=C(C(=C3C)N)C.C6=C(C(C4=C(Cl)C=CC=C4Cl)=C5C=C(C(=N)C(=C5)C)C)C=C(C(=C6C)N)C.C9=C(C(C7=C(Cl)C=CC=C7Cl)=C8C=C(C(=N)C(=C8)C)C)C=C(C(=C9C)N)C.O=[P](O)(O)O.OC(C)C |
| InChI | 1S/3C23H22Cl2N2.C3H8O.H3O4P/c3*1-12-8-16(9-13(2)22(12)26)20(21-18(24)6-5-7-19(21)25)17-10-14(3)23(27)15(4)11-17;1-3(2)4;1-5(2,3)4/h3*5-11,26H,27H2,1-4H3;3-4H,1-2H3;(H3,1,2,3,4) |
| InChIKey | RFTBTXUBQBDLGL-UHFFFAOYSA-N |
| Market Analysis Reports |