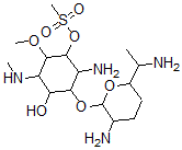
Identification
| Name |
2-O-Methanesulfonylfortimycin B |
| Synonyms |
[2-Amino-3-[3-Amino-6-(1-Aminoethyl)Tetrahydropyran-2-Yl]Oxy-4-Hydroxy-6-Methoxy-5-Methylamino-Cyclohexyl] Methanesulfonate; Methanesulfonic Acid [2-Amino-3-[[3-Amino-6-(1-Aminoethyl)-2-Tetrahydropyranyl]Oxy]-4-Hydroxy-6-Methoxy-5-Methylaminocyclohexyl] Ester; Methanesulfonic Acid [2-Amino-3-[3-Amino-6-(1-Aminoethyl)Tetrahydropyran-2-Yl]Oxy-4-Hydroxy-6-Methoxy-5-Methylamino-Cyclohexyl] Ester |
|
| Molecular Structure |
 |
| Molecular Formula |
C16H34N4O7S |
| Molecular Weight |
426.53 |
| CAS Registry Number |
71657-29-9 |
| SMILES |
CC(C2OC(OC1C(C(C(C(C1N)O[S](C)(=O)=O)OC)NC)O)C(CC2)N)N |
| InChI |
1S/C16H34N4O7S/c1-7(17)9-6-5-8(18)16(25-9)26-13-10(19)14(27-28(4,22)23)15(24-3)11(20-2)12(13)21/h7-16,20-21H,5-6,17-19H2,1-4H3 |
| InChIKey |
ZCNNPCJTDXVZCF-UHFFFAOYSA-N |
|