Online Database of Chemicals from Around the World

Veratrine
[CAS 71-62-5]

List of Suppliers
BOC Sciences USA
www.bocsci.com
+1 (631) 485-4226
+1 (631) 614-7828
info@bocsci.com
Chemical manufacturer
chemBlink Standard supplier since 2010
Alfa Chemistry USA
www.alfa-chemistry.com
+1 (201) 478-8534
+1 (516) 927-0118
inquiry@alfa-chemistry.com
Chemical distributor since 2012
chemBlink Standard supplier since 2012
Chengdu Biopurify Phytochemicals Ltd. China
www.phytopurify.com
+86 (28) 8263-3860
8263-3987
+86 (28) 8263-3165
sales@biopurify.com
biopurify@gmail.com
QQ Chat
Skype Chat
Chemical manufacturer
chemBlink Standard supplier since 2017
Tocris Bioscience Inc. USA
www.tocris.com
+1 (636) 207-7651
+1 (636) 207-7683
customerservice.na@bio-techne.com
Chemical manufacturer since 1982

Identification
ClassificationOrganic raw materials >> Carboxylic compounds and derivatives >> Carboxylic esters and their derivatives
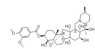
NameVeratrine
Synonyms3-Veratroylveracevine; NSC 7524; Veracevine, veratrate
Molecular StructureVeratrine molecular structure (CAS 71-62-5)
Molecular FormulaC36H51NO11
Molecular Weight673.79
CAS Registry Number71-62-5
EC Number200-758-4
Properties
SolubilityInsoluble (4.2E-3 g/L) (25 °C), Calc.*
Density1.45±0.1 g/cm3 (20 °C 760 Torr), Calc.*
Melting point180 °C**
*Calculated using Advanced Chemistry Development (ACD/Labs) Software V11.02 (©1994-2013 ACD/Labs)
**"Hazardous Substances Data Bank" data were obtained from the National Library of Medicine (US)
Safety Data
Hazard Classification
up    Details
HazardClassCategory CodeHazard Statement
Skin irritationSkin Irrit.2H315
Eye irritationEye Irrit.2H319
Acute toxicityAcute Tox.2H330
Acute toxicityAcute Tox.2H310
Acute toxicityAcute Tox.2H300
Reproductive toxicityRepr.2H361
Specific target organ toxicity - single exposureSTOT SE3H335
SDSAvailable
Market Analysis Reports
Related Products
(R)-(+)-Verapam...  (R)-Verapamilic...  Verapamil Relat...  Verapatuline  Veratraldehyde  Veratraldehyde ...  Veratric acid 4...  Veratric Acid-d...  Veratric Acid 2...  Veratrine  Veratrine  Veratronitrile  Veratrosine  C-Veratroylglyc...  Veratryl Acetat...  Veratrylamine  Veratrylguanidi...  4,4'-Veratrylid...  Verazide  Verazine