Online Database of Chemicals from Around the World

Diethylenetriamine penta(methylene phosphonic acid) heptasaodium salt
[CAS 68155-78-2]

List of Suppliers
Shandong Taihe Water Treatment Co., Ltd. China
www.thwater.net
+86 (632) 511-3066
+86 (632) 346-0156
th@thwater.com
Chemical manufacturer
chemBlink Standard supplier since 2008
Simagchem Corporation China
www.simagchem.com
+86 13806087780
+86 (592) 268-0237
sale@simagchem.com
Chemical manufacturer since 2002
chemBlink Standard supplier since 2008
Hefei TNJ Chemical Industry Co., Ltd. China
www.tnjchem.com
+86 (551) 6541-8684
+86 (551) 6541-8697
sales@tnjchem.com
Chemical manufacturer since 2001
chemBlink Standard supplier since 2010
BOC Sciences USA
www.bocsci.com
+1 (631) 485-4226
+1 (631) 614-7828
info@bocsci.com
Chemical manufacturer
chemBlink Standard supplier since 2010
Riverland Trading LLC. USA
www.riverlandtrading.com
+1 (336).944-2293
bens@riverlandtrading.com
Chemical distributor
chemBlink Standard supplier since 2023
Changzhou Yao's Tongde Chemical Co., Ltd. China
www.watercondipioning.com
+86 (519) 8873-3208
8893-2391
+86 (519) 8873-2040
info@watercondipioning.com
Chemical manufacturer
Shandong Xintai Water-Treatment Co., Ltd. China
www.xintaiwater.com
+86 (632) 346-1066
+86 (632) 346-1077
xintaiwater@163.com
Chemical manufacturer

Identification
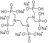
NameDiethylenetriamine penta(methylene phosphonic acid) heptasaodium salt
SynonymsDTPMP heptasaodium salt
Molecular StructureDiethylenetriamine penta(methylene phosphonic acid) heptasaodium salt molecular structure (CAS 68155-78-2)
Molecular FormulaC9H21N3Na7O15P5
Molecular Weight727.07
CAS Registry Number68155-78-2
EC Number268-990-9
Safety Data
Hazard Classification
up    Details
HazardClassCategory CodeHazard Statement
Eye irritationEye Irrit.2H319
Serious eye damageEye Dam.1H318
Eye irritationEye Irrit.2H320
Chronic hazardous to the aquatic environmentAquatic Chronic2H411
Substances or mixtures corrosive to metalsMet. Corr.1H290
Skin irritationSkin Irrit.2H315
Market Analysis Reports
Related Products
Diethylene glyc...  Diethylene glyc...  Di(ethylene gly...  Diethylenetriam...  Diethylenetriam...  Diethylenetriam...  Diethylenetriam...  Diethylenetriam...  Diethylenetriam...  Diethylenetriam...  Diethylenetriam...  Diethylenetriam...  Diethylenetriam...  Diethylenetriam...  3-(Diethylenetr...  [5-[(4,6-Diethy...  2,5-Diethyl-2,5...  Diethyl 2,3-Epo...  Diethyl (2S,3S)...  (2R,3R)-Diethyl...