| Creative Peptides | USA | |||
|---|---|---|---|---|
![]() | www.creative-peptides.com | |||
![]() | +1 (631) 624-4882 | |||
![]() | +1 (631) 614-7828 | |||
![]() | info@creative-peptides.com | |||
| Chemical manufacturer | ||||
| chemBlink Standard supplier since 2010 | ||||
| Hangzhou Leap Chem Co., Ltd. | China | |||
|---|---|---|---|---|
![]() | www.leapchem.com | |||
![]() | +86 (571) 8771-1850 | |||
![]() | market19@leapchem.com | |||
![]() | QQ Chat | |||
| Chemical manufacturer since 2006 | ||||
| chemBlink Standard supplier since 2015 | ||||
| LKT Laboratories, Inc. | USA | |||
|---|---|---|---|---|
![]() | www.lktlabs.com | |||
![]() | +1 (888) 558-5227 | |||
![]() | +1 (651) 644-8357 | |||
![]() | peacerli@mbolin-lktlabs.com | |||
| Chemical manufacturer | ||||
| Santa Cruz Biotechnology, Inc. | USA | |||
|---|---|---|---|---|
![]() | www.scbt.com | |||
![]() | +1 (831) 457-3800 | |||
![]() | +1 (831) 457-3801 | |||
![]() | scbt@scbt.com | |||
| Chemical manufacturer | ||||
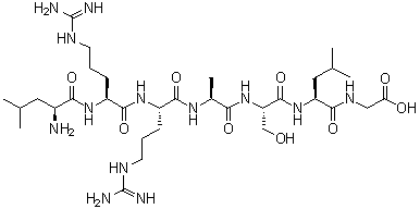
| Name | Kemptide |
|---|---|
| Synonyms | L-Leucyl-L-arginyl-L-arginyl-L-alanyl-L-seryl-L-leucylglycine; NSC 332190 |
| Molecular Structure | ![]() |
| Molecular Formula | C32H61N13O9 |
| Molecular Weight | 771.91 |
| CAS Registry Number | 65189-71-1 |
| Solubility | Sparingly soluble (22 g/L) (25 °C), Calc.* |
|---|---|
| Density | 1.43±0.1 g/cm3 (20 °C 760 Torr), Calc.* |
| * | Calculated using Advanced Chemistry Development (ACD/Labs) Software V11.02 (©1994-2014 ACD/Labs) |
| SDS | Available |
|---|---|
| Market Analysis Reports |