Online Database of Chemicals from Around the World

Acid Brown 121
[CAS 6487-04-3]

Suppliers
Biosynth AG. Switzerland
+41 (71) 858-2020
welcome@biosynth.ch
Chemical manufacturer
Identification
Classification Dyes and pigments >> Dyes >> Acid dyestuff
Name Acid Brown 121
Synonyms Disodium (3Z)-5-[(N'e)-N'-[(5Z)-5-[(2-Hydroxy-5-Nitro-Phenyl)Hydrazono]-4,6-Dioxo-1-Cyclohex-2-Enylidene]Hydrazino]-3-[(4-Nitrophenyl)Hydrazono]-4-Oxo-Naphthalene-2,7-Disulfonate; Disodium (3Z)-5-[(N'e)-N'-[(5Z)-5-[(2-Hydroxy-5-Nitrophenyl)Hydrazono]-4,6-Dioxo-1-Cyclohex-2-Enylidene]Hydrazino]-3-[(4-Nitrophenyl)Hydrazono]-4-Oxonaphthalene-2,7-Disulfonate; Disodium (3Z)-5-[(N'e)-N'-[(5Z)-5-[(2-Hydroxy-5-Nitro-Phenyl)Hydrazono]-4,6-Diketo-1-Cyclohex-2-Enylidene]Hydrazino]-4-Keto-3-[(4-Nitrophenyl)Hydrazono]Naphthalene-2,7-Disulfonate
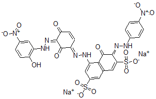
Molecular Structure CAS#: 6487-04-3, Acid Brown 121
Molecular Formula C28H16N8Na2O14S2
Molecular Weight 798.58
CAS Registry Number 6487-04-3
EINECS 229-361-4
SMILES C3=C([S]([O-])(=O)=O)C=C(N\N=C2\C(=O)\C(=N/NC1=C(O)C=CC(=C1)[N+]([O-])=O)C(=O)C=C2)C5=C3C=C([S]([O-])(=O)=O)\C(=N/NC4=CC=C([N+]([O-])=O)C=C4)C5=O.[Na+].[Na+]
InChI 1S/C28H18N8O14S2.2Na/c37-21-7-5-16(36(43)44)11-19(21)31-33-25-22(38)8-6-18(27(25)39)30-32-20-12-17(51(45,46)47)9-13-10-23(52(48,49)50)26(28(40)24(13)20)34-29-14-1-3-15(4-2-14)35(41)42;;/h1-12,29,31-32,37H,(H,45,46,47)(H,48,49,50);;/q;2*+1/p-2/b30-18+,33-25-,34-26+;;
InChIKey QKJCSWHWJMGJIX-CKLXFHSRSA-L
Market Analysis Reports
Related Products
Acid Blue 92;Tr...  Acid Blue 93;C....  Acid Blue 98;So...  Acid Blue 158 A...  C.I. Acid Blue ...  Acid Blue 34 s...  Acid Brilliant ...  Acid brown19  Acid Brown 100;...  Acid Brown 106;...  Acid Brown 122;...  Acid Brown 14;F...  Acid Brown 147  C.I. Acid Brown...  Acid Brown 161;...  Acid Brown 165;...  Acid Brown 188;...  C.I.Acid Brown ...  C.I. Acid Brown...  Acid Brown 2;So...