Online Database of Chemicals from Around the World

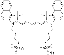
2-[5-[1,1-Dimethyl-3-(4-sulfobutyl)-1,3-dihydrobenzo[e]indol-2-ylidene]penta-1,3-dienyl]-1,1-dimethyl-3-(4-sulfobutyl)-1H-benzo[e]indolium inner salt sodium salt
[CAS 64285-36-5]

List of Suppliers
FEW Chemicals GmbH Germany
www.few.de
+49 (3494) 638-050
+49 (3494) 638-099
few@few.de
Chemical manufacturer

Identification
Name2-[5-[1,1-Dimethyl-3-(4-sulfobutyl)-1,3-dihydrobenzo[e]indol-2-ylidene]penta-1,3-dienyl]-1,1-dimethyl-3-(4-sulfobutyl)-1H-benzo[e]indolium inner salt sodium salt
Molecular Structure2-[5-[1,1-Dimethyl-3-(4-sulfobutyl)-1,3-dihydrobenzo[e]indol-2-ylidene]penta-1,3-dienyl]-1,1-dimethyl-3-(4-sulfobutyl)-1H-benzo[e]indolium inner salt sodium salt molecular structure (CAS 64285-36-5)
Molecular FormulaC41H45N2O6S2.Na
Molecular Weight748.93
CAS Registry Number64285-36-5
EC Number811-019-6
Safety Data
Hazard Classification
up    Details
HazardClassCategory CodeHazard Statement
Eye irritationEye Irrit.2H319
Skin irritationSkin Irrit.2H315
SDSAvailable
Market Analysis Reports
Related Products
1,1-Dimethyl-3-...  1,3-Dimethyl-5-...  1,3-Dimethyl-5-...  (7R,8R,9S,10R,1...  2,5-Dimethylsul...  Dimethyl Sulfat...  Dimethyl sulfat...  Dimethyl sulfid...  Dimethylsulfide...  Dimethyl sulfit...  2-[5-[3,3-Dimet...  2-[3-[3,3-Dimet...  1,2-Dimethyl-3-...  2,3-Dimethyl-5-...  4-[(2,3-Dimethy...  DIMETHYLSULFONA...  (N,S-Dimethylsu...  (1R,2R)-2-Dimet...  2-Dimethylsulfo...  5-Dimethylsulfo...