Online Database of Chemicals from Around the World

L-Alanyl-L-Seryl-L-Histidyl-L-Leucylglycyl-L-Leucyl-L-Alanyl-L-Arginine
[CAS 63555-63-5]

Suppliers
Alfa Chemistry USA
+1 (201) 478-8534
inquiry@alfa-chemistry.com
Chemical distributor since 2012
chemBlink standard supplier since 2012
BOC Sciences USA
+1 (631) 485-4226
info@bocsci.com
Skype Chat
Chemical distributor
chemBlink massive supplier since 2012
Identification
Name L-Alanyl-L-Seryl-L-Histidyl-L-Leucylglycyl-L-Leucyl-L-Alanyl-L-Arginine
Synonyms (2S)-2-[[(2S)-2-[[(2S)-2-[[2-[[(2S)-2-[[(2S)-2-[[(2S)-2-[[(2S)-2-Aminopropanoyl]Amino]-3-Hydroxy-Propanoyl]Amino]-3-(4H-Imidazol-4-Yl)Propanoyl]Amino]-4-Methyl-Pentanoyl]Amino]Acetyl]Amino]-4-Methyl-Pentanoyl]Amino]Propanoyl]Amino]-5-Guanidino-Pentanoic Acid; (2S)-2-[[(2S)-2-[[(2S)-2-[[2-[[(2S)-2-[[(2S)-2-[[(2S)-2-[[(2S)-2-Amino-1-Oxopropyl]Amino]-3-Hydroxy-1-Oxopropyl]Amino]-3-(4H-Imidazol-4-Yl)-1-Oxopropyl]Amino]-4-Methyl-1-Oxopentyl]Amino]-1-Oxoethyl]Amino]-4-Methyl-1-Oxopentyl]Amino]-1-Oxopropyl]Amino]-5-Guanidinopentanoic Acid; (2S)-2-[[(2S)-2-[[(2S)-2-[[2-[[(2S)-2-[[(2S)-2-[[(2S)-2-(Alanylamino)-3-Hydroxy-Propanoyl]Amino]-3-(4H-Imidazol-4-Yl)Propanoyl]Amino]-4-Methyl-Pentanoyl]Amino]Acetyl]Amino]-4-Methyl-Pentanoyl]Amino]Propanoyl]Amino]-5-Guanidino-Valeric Acid
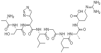
Molecular Structure CAS#: 63555-63-5, L-Alanyl-L-Seryl-L-Histidyl-L-Leucylglycyl-L-Leucyl-L-Alanyl-L-Arginine
Molecular Formula C35H61N13O10
Molecular Weight 823.95
CAS Registry Number 63555-63-5
SMILES [C@H](NC(=O)[C@@H](NC(=O)[C@@H](NC(=O)[C@@H](N)C)CO)CC1N=CN=C1)(CC(C)C)C(=O)NCC(=O)N[C@@H](CC(C)C)C(=O)N[C@H](C(=O)N[C@@H](CCCN=C(N)N)C(O)=O)C
InChI 1S/C35H61N13O10/c1-17(2)10-23(46-32(55)25(12-21-13-39-16-42-21)47-33(56)26(15-49)48-28(51)19(5)36)30(53)41-14-27(50)44-24(11-18(3)4)31(54)43-20(6)29(52)45-22(34(57)58)8-7-9-40-35(37)38/h13,16-26,49H,7-12,14-15,36H2,1-6H3,(H,41,53)(H,43,54)(H,44,50)(H,45,52)(H,46,55)(H,47,56)(H,48,51)(H,57,58)(H4,37,38,40)/t19-,20-,21?,22-,23-,24-,25-,26-/m0/s1
InChIKey PZGDJPJCVBFTSD-FZNMGIFLSA-N
Properties
Density 1.445g/cm3 (Cal.)
Market Analysis Reports
Related Products
L-Alanyl-L-prol...  L-Alanyl-L-prol...  L-Alanyl-L-Prol...  L-Alanyl-L-Prol...  L-Alanyl-L-prol...  L-Alanyl-L-prol...  L-Alanyl-L-prol...  L-Alanyl-L-prol...  L-Alanyl-L-prol...  L-Alanyl-L-Sery...  L-Alanyl-L-sery...  L-Alanyl-L-sery...  L-Alanyl-L-sery...  L-Alanyl-L-sery...  L-Alanyl-L-Sery...  L-Alanyl-L-thre...  L-Alanyl-L-thre...  L-Alanyl-L-thre...  L-Alanyl-L-thre...  L-Alanyl-L-thre...