Online Database of Chemicals from Around the World

1,2-Dihexanoylphosphatidylethanolamine
[CAS 6060-30-6]

Suppliers
CAS#: 6060-30-6
Product: 1,2-Dihexanoylphosphatidylethanolamine
No suppilers available for the product.
Identification
Name 1,2-Dihexanoylphosphatidylethanolamine
Synonyms [1-[(2-Aminoethoxy-Hydroxy-Phosphoryl)Oxymethyl]-2-Hexanoyloxy-Ethyl] Hexanoate; Hexanoic Acid [1-[(2-Aminoethoxy-Hydroxyphosphoryl)Oxymethyl]-2-(1-Oxohexoxy)Ethyl] Ester; Hexanoic Acid [1-[(2-Aminoethoxy-Hydroxy-Phosphoryl)Oxymethyl]-2-Caproyloxy-Ethyl] Ester
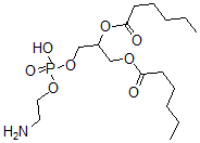
Molecular Structure CAS#: 6060-30-6, 1,2-Dihexanoylphosphatidylethanolamine
Molecular Formula C17H34NO8P
Molecular Weight 411.43
CAS Registry Number 6060-30-6
SMILES C(O[P](OCCN)(=O)O)C(OC(=O)CCCCC)COC(=O)CCCCC
InChI 1S/C17H34NO8P/c1-3-5-7-9-16(19)23-13-15(26-17(20)10-8-6-4-2)14-25-27(21,22)24-12-11-18/h15H,3-14,18H2,1-2H3,(H,21,22)
InChIKey PELYUHWUVHDSSU-UHFFFAOYSA-N
Properties
Density 1.16g/cm3 (Cal.)
Boiling point 517.965°C at 760 mmHg (Cal.)
Flash point 267.056°C (Cal.)
Market Analysis Reports
Related Products
N,N-Dihexadecyl...  1,2-Dihexadecyl...  Dihexadecyl Pht...  1,2-Dihexadecyl...  Dihexadecyl [R(...  1,1'-Dihexadecy...  Dihexadecyl 3,3...  Di[(2E,4E)-2,4-...  1,2-Dihexanoylg...  [(1S,2S,3R)-2,3...  1,2-Dihexanoyl-...  1,2-Dihexanoyl-...  4,6-Dihexan-2-Y...  Di-(5-Hexenyl)P...  1,1-Dihexoxyhex...  N,N-Di-n-Hexyla...  Dihexyl adipate...  Dihexylaluminum...  Dihexylamine;Bi...  4-(Dihexylamino...