Online Database of Chemicals from Around the World

6-O-Galloyl Arbutin
[CAS 5991-00-4]

Suppliers
CAS#: 5991-00-4
Product: 6-O-Galloyl Arbutin
No suppilers available for the product.
Identification
Name 6-O-Galloyl Arbutin
Synonyms [(2R,3S,4S,5R,6S)-3,4,5-Trihydroxy-6-(4-Hydroxyphenoxy)Tetrahydropyran-2-Yl]Methyl 3,4,5-Trihydroxybenzoate; 3,4,5-Trihydroxybenzoic Acid [(2R,3S,4S,5R,6S)-3,4,5-Trihydroxy-6-(4-Hydroxyphenoxy)-2-Tetrahydropyranyl]Methyl Ester; 3,4,5-Trihydroxybenzoic Acid [(2R,3S,4S,5R,6S)-3,4,5-Trihydroxy-6-(4-Hydroxyphenoxy)Tetrahydropyran-2-Yl]Methyl Ester
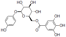
Molecular Structure CAS#: 5991-00-4, 6-O-Galloyl Arbutin
Molecular Formula C19H20O11
Molecular Weight 424.36
CAS Registry Number 5991-00-4
SMILES [C@@H]1([C@@H]([C@@H](O)[C@@H]([C@H](O1)COC(C2=CC(=C(C(=C2)O)O)O)=O)O)O)OC3=CC=C(C=C3)O
InChI 1S/C19H20O11/c20-9-1-3-10(4-2-9)29-19-17(26)16(25)15(24)13(30-19)7-28-18(27)8-5-11(21)14(23)12(22)6-8/h1-6,13,15-17,19-26H,7H2/t13-,15-,16+,17-,19-/m1/s1
InChIKey KPFBMNKCSZQESS-WIMVFMHDSA-N
Properties
Density 1.664g/cm3 (Cal.)
Boiling point 808.169°C at 760 mmHg (Cal.)
Flash point 289.097°C (Cal.)
Market Analysis Reports
Related Products
Gallium Triperc...  Gallium Tris[Bi...  Gallium tris(di...  Gallium Zinc Tr...  (-)-Gallocatech...  Gallocatechin  (-)-Gallocatech...  (-)-Gallocatech...  Gallocyanine  Galloflavin  11-O-Galloylber...  4-O-Galloylberg...  6-O-Galloylgluc...  3-O-Galloyl-4-O...  2'-O-Galloylhyp...  Galloyl-Oxypaeo...  7β-Galloyloxysw...  7α-Galloyloxysw...  6'-O-Galloyl pa...  1(beta)-O-Gallo...