Identification
| Name |
Phosphoric Acid Diethyl 2-(Dimethylcarbamoyl)-1-Methylvinyl Ester |
| Synonyms |
1-(Dimethylcarbamoyl)Prop-2-Enyl Diethyl Phosphate; Phosphoric Acid 1-(Dimethylamino-Oxomethyl)Prop-2-Enyl Diethyl Ester; Phosphoric Acid 1-(Dimethylcarbamoyl)Prop-2-Enyl Diethyl Ester |
|
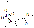
| Molecular Structure |
 |
| Molecular Formula |
C10H20NO5P |
| Molecular Weight |
265.25 |
| CAS Registry Number |
5723-63-7 |
| SMILES |
C(O[P](OC(C(N(C)C)=O)C=C)(=O)OCC)C |
| InChI |
1S/C10H20NO5P/c1-6-9(10(12)11(4)5)16-17(13,14-7-2)15-8-3/h6,9H,1,7-8H2,2-5H3 |
| InChIKey |
WWFQNAHITCJRKH-UHFFFAOYSA-N |
|