Online Database of Chemicals from Around the World

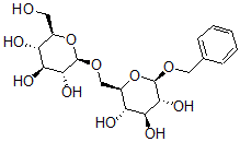
Benzyl Gentiobioside
[CAS 56775-64-5]

Suppliers
CAS#: 56775-64-5
Product: Benzyl Gentiobioside
No suppilers available for the product.
Identification
Name Benzyl Gentiobioside
Synonyms (2R,3R,4S,5S,6R)-2-(Phenylmethoxy)-6-[[(2R,3R,4S,5S,6R)-3,4,5-Trihydroxy-6-(Hydroxymethyl)Tetrahydropyran-2-Yl]Oxymethyl]Tetrahydropyran-3,4,5-Triol; (2R,3R,4S,5S,6R)-2-(Phenylmethoxy)-6-[[(2R,3R,4S,5S,6R)-3,4,5-Trihydroxy-6-(Hydroxymethyl)-2-Tetrahydropyranyl]Oxymethyl]Tetrahydropyran-3,4,5-Triol; (2R,3R,4S,5S,6R)-2-(Benzyloxy)-6-[[(2R,3R,4S,5S,6R)-3,4,5-Trihydroxy-6-Methylol-Tetrahydropyran-2-Yl]Oxymethyl]Tetrahydropyran-3,4,5-Triol
Molecular Structure CAS#: 56775-64-5, Benzyl Gentiobioside
Molecular Formula C19H28O11
Molecular Weight 432.42
CAS Registry Number 56775-64-5
SMILES [C@H]1([C@H]([C@H](O)[C@H](O[C@H]1OCC2=CC=CC=C2)CO[C@H]3[C@@H]([C@@H](O)[C@@H]([C@H](O3)CO)O)O)O)O
InChI 1S/C19H28O11/c20-6-10-12(21)14(23)16(25)19(29-10)28-8-11-13(22)15(24)17(26)18(30-11)27-7-9-4-2-1-3-5-9/h1-5,10-26H,6-8H2/t10-,11-,12-,13-,14+,15+,16-,17-,18-,19-/m1/s1
InChIKey LLEMMFPELBNINR-SKYGPZSASA-N
Properties
Density 1.559g/cm3 (Cal.)
Boiling point 705.926°C at 760 mmHg (Cal.)
Flash point 380.731°C (Cal.)
Market Analysis Reports
Related Products
(5-Benzyl-2-Fur...  (5-Benzyl-3-Fur...  (5-Benzyl-2-Fur...  5-Benzyl-3-fury...  3-(5-Benzyl-2-F...  Benzyl beta-D-g...  Benzyl alpha-D-...  Benzyl O-galact...  Benzyl 4-O-beta...  4-Benzyl-gallic...  4-O-Benzyl-D-Gl...  Benzyl-α-D-gluc...  Benzyl D-Glucop...  Benzyl alpha-D-...  Benzyl beta-D-G...  gamma-Benzyl L-...  alpha-Benzyl D-...  gamma-Benzylglu...  5-Benzyl L-glut...  (4S)-4-Benzyl-L...