Online Database of Chemicals from Around the World

Ethchlorvynol Glucuronide
[CAS 56050-11-4]

Suppliers
CAS#: 56050-11-4
Product: Ethchlorvynol Glucuronide
No suppilers available for the product.
Identification
Name Ethchlorvynol Glucuronide
Synonyms (2S,3S,4S,5R,6S)-6-[(E)-3-Chloro-1-Ethyl-1-Ethynyl-Prop-2-Enoxy]-3,4,5-Trihydroxy-Tetrahydropyran-2-Carboxylic Acid; (2S,3S,4S,5R,6S)-6-[(E)-3-Chloro-1-Ethyl-1-Ethynylprop-2-Enoxy]-3,4,5-Trihydroxy-2-Tetrahydropyrancarboxylic Acid; (2S,3S,4S,5R,6S)-6-[(E)-1-Chloro-3-Ethyl-Pent-1-En-4-Yn-3-Yl]Oxy-3,4,5-Trihydroxy-Oxane-2-Carboxylic Acid
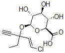
Molecular Structure CAS#: 56050-11-4, Ethchlorvynol Glucuronide
Molecular Formula C13H17ClO7
Molecular Weight 320.73
CAS Registry Number 56050-11-4
SMILES [C@H]1(OC(\C=C\Cl)(C#C)CC)[C@H](O)[C@@H](O)[C@H](O)[C@H](O1)C(=O)O
InChI 1S/C13H17ClO7/c1-3-13(4-2,5-6-14)21-12-9(17)7(15)8(16)10(20-12)11(18)19/h1,5-10,12,15-17H,4H2,2H3,(H,18,19)/b6-5+/t7-,8-,9+,10-,12-,13?/m0/s1
InChIKey QVPCVYXUELXQBC-KHPYKDKZSA-N
Market Analysis Reports
Related Products
N-(2...  N-[6-[(3-ethano...  Ethaphos;2,4-Di...  Ethaselen  Ethaverine;1-[(...  Ethaverine hydr...  Ethazolastone;3...  Ethazole sodium...  Ethchlorvynol;1...  Ethchlorvynol C...  Ethenamine Homo...  Ethene-D;Deuter...  Ethene;Ethylene...  Ethene, Compd. ...  (1E)-Ethene-1,2...  (1Z)-Ethene-1,2...  Ethene-1,1-D2;1...  1,2-Ethenediol;...  1,2-Ethenedione...  2,2'-[(E)-1,2-E...