Online Database of Chemicals from Around the World

2-(2-Diethylaminoethoxy)Ethyl 2-Methyl-1,3-Benzodioxole-2-Acetate
[CAS 51140-23-9]

Suppliers
CAS#: 51140-23-9
Product: 2-(2-Diethylaminoethoxy)Ethyl 2-Methyl-1,3-Benzodioxole-2-Acetate
No suppilers available for the product.
Identification
Name 2-(2-Diethylaminoethoxy)Ethyl 2-Methyl-1,3-Benzodioxole-2-Acetate
Synonyms Citric Acid; 2-(2-Diethylaminoethoxy)Ethyl 2-(2-Methyl-1,3-Benzodioxol-2-Yl)Acetate; Citric Acid; 2-(2-Methyl-1,3-Benzodioxol-2-Yl)Acetic Acid 2-(2-Diethylaminoethoxy)Ethyl Ester; 2-(2-Diethylaminoethoxy)Ethyl 2-(2-Methyl-1,3-Benzodioxol-2-Yl)Ethanoate; 2-Hydroxypropane-1,2,3-Tricarboxylic Acid
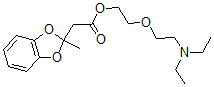
Molecular Structure CAS#: 51140-23-9, 2-(2-Diethylaminoethoxy)Ethyl 2-Methyl-1,3-Benzodioxole-2-Acetate
Molecular Formula C24H35NO12
Molecular Weight 529.54
CAS Registry Number 51140-23-9
SMILES C1=CC=CC2=C1OC(O2)(CC(OCCOCCN(CC)CC)=O)C.C(C(O)(C(=O)O)CC(=O)O)C(=O)O
InChI 1S/C18H27NO5.C6H8O7/c1-4-19(5-2)10-11-21-12-13-22-17(20)14-18(3)23-15-8-6-7-9-16(15)24-18;7-3(8)1-6(13,5(11)12)2-4(9)10/h6-9H,4-5,10-14H2,1-3H3;13H,1-2H2,(H,7,8)(H,9,10)(H,11,12)
InChIKey VHVLWKPUQQRDGK-UHFFFAOYSA-N
Properties
Boiling point 431.2°C at 760 mmHg (Cal.)
Flash point 214.6°C (Cal.)
Market Analysis Reports
Related Products
[4-[2-(Diethyla...  [4-(2-Diethylam...  6-[2-(Diethylam...  2-(2-Diethylami...  6-(2-Diethylami...  2-[(2-Diethyl-d...  (E)-2-(Diethyla...  4-[2-[2-(Diethy...  4-Diethylaminoe...  2-(2-(2-(Diethy...  2-(2-Diethylami...  [4-[2-(Diethyla...  4-[3-[2-(Diethy...  [4-[2-(Diethyla...  1-[2-(2-Diethyl...  6-(2-Diethylami...  alpha-[[2-(Diet...  1-((2-(Diethyla...  2-[2-(Diethylam...  5-[2-(Diethylam...