| Atomax Chemicals Co., Ltd. | China | |||
|---|---|---|---|---|
![]() |
+86 13417589054/ | |||
![]() |
info@atomaxchem.com,atomax.chemicals@gmail.com | |||
![]() |
QQ Chat | |||
| Chemical manufacturer | ||||
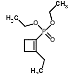
| Name | Diethyl (2-Ethyl-1-Cyclobuten-1-Yl)Phosphonate |
|---|---|
| Synonyms | diethyl (2-ethylcyclobut-1-en-1-yl)phosphonate; NSC123324 |
| Molecular Structure | ![]() |
| Molecular Formula | C10H19O3P |
| Molecular Weight | 218.23 |
| CAS Registry Number | 500545-58-4 |
| SMILES | O=P(OCC)(OCC)\C1=C(/CC)CC1 |
| InChI | 1S/C10H19O3P/c1-4-9-7-8-10(9)14(11,12-5-2)13-6-3/h4-8H2,1-3H3 |
| InChIKey | BNDQEBHAEKUCLM-UHFFFAOYSA-N |
| Density | 1.055g/cm3 (Cal.) |
|---|---|
| Boiling point | 288.67°C at 760 mmHg (Cal.) |
| Flash point | 142.31°C (Cal.) |
| Refractive index | 1.454 (Cal.) |
| Market Analysis Reports |