|
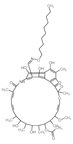
CAS#: 41776-56-1 Product: 3-(Decyloxyiminomethyl)Rifamycin No suppilers available for the product. |
| Name | 3-(Decyloxyiminomethyl)Rifamycin |
|---|---|
| Synonyms | 3-Formylrifamycin Sv O-Decyloxime; Brn 5418702; Nsc 165124 |
| Molecular Structure | ![]() |
| Molecular Formula | C48H68N2O13 |
| Molecular Weight | 881.07 |
| CAS Registry Number | 41776-56-1 |
| SMILES | [C@H]1([C@H](O)[C@@H]([C@@H](O)[C@@H](C)\C=C\C=C(C(=O)NC4=C(O)C3=C(C2=C(O[C@](O/C=C/[C@H](OC)[C@H]([C@H]1OC(=O)C)C)(C2=O)C)C(=C3O)C)C(=O)\C4=C\NOCCCCCCCCCC)\C)C)C |
| InChI | 1S/C48H68N2O13/c1-11-12-13-14-15-16-17-18-23-61-49-25-33-38-43(56)36-35(42(33)55)37-45(31(7)41(36)54)63-48(9,46(37)57)60-24-22-34(59-10)28(4)44(62-32(8)51)30(6)40(53)29(5)39(52)26(2)20-19-21-27(3)47(58)50-38/h19-22,24-26,28-30,34,39-40,44,49,52-54,56H,11-18,23H2,1-10H3,(H,50,58)/b20-19+,24-22+,27-21-,33-25+/t26-,28+,29+,30+,34-,39-,40+,44+,48-/m0/s1 |
| InChIKey | KCWNQZRBESBBSC-NTWOFCDSSA-N |
| Market Analysis Reports |