Online Database of Chemicals from Around the World

Linoleoyl-Coenzyme A
[CAS 40757-80-0]

Suppliers
CAS#: 40757-80-0
Product: Linoleoyl-Coenzyme A
No suppilers available for the product.
Identification
Name Linoleoyl-Coenzyme A
Synonyms S-[2-[3-[[(2R)-4-[[[(2R,3S,4R,5R)-5-(6-Aminopurin-9-Yl)-4-Hydroxy-3-Phosphonooxy-Tetrahydrofuran-2-Yl]Methoxy-Hydroxy-Phosphoryl]Oxy-Hydroxy-Phosphoryl]Oxy-2-Hydroxy-3,3-Dimethyl-Butanoyl]Amino]Propanoylamino]Ethyl] (9E,12E)-Octadeca-9,12-Dienethioate; (9E,12E)-Octadeca-9,12-Dienethioic Acid S-[2-[[3-[[(2R)-4-[[[(2R,3S,4R,5R)-5-(6-Amino-9-Purinyl)-4-Hydroxy-3-Phosphonooxy-2-Tetrahydrofuranyl]Methoxy-Hydroxyphosphoryl]Oxy-Hydroxyphosphoryl]Oxy-2-Hydroxy-3,3-Dimethyl-1-Oxobutyl]Amino]-1-Oxopropyl]Amino]Ethyl] Ester; (9E,12E)-Octadeca-9,12-Dienethioic Acid S-[2-[3-[[(2R)-4-[[[(2R,3S,4R,5R)-5-(6-Aminopurin-9-Yl)-4-Hydroxy-3-Phosphonooxy-Tetrahydrofuran-2-Yl]Methoxy-Hydroxy-Phosphoryl]Oxy-Hydroxy-Phosphoryl]Oxy-2-Hydroxy-3,3-Dimethyl-Butanoyl]Amino]Propanoylamino]Ethyl] Ester
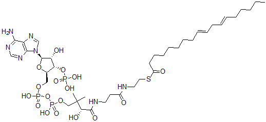
Molecular Structure CAS#: 40757-80-0, Linoleoyl-Coenzyme A
Molecular Formula C39H66N7O17P3S
Molecular Weight 1029.97
CAS Registry Number 40757-80-0
SMILES [C@H]1(O[C@@H]([C@@H](O[P](=O)(O)O)[C@H]1O)CO[P](O[P](OCC([C@@H](O)C(=O)NCCC(=O)NCCSC(=O)CCCCCCC\C=C\C\C=C\CCCCC)(C)C)(=O)O)(=O)O)[N]2C3=C(N=C2)C(=NC=N3)N
InChI 1S/C39H66N7O17P3S/c1-4-5-6-7-8-9-10-11-12-13-14-15-16-17-18-19-30(48)67-23-22-41-29(47)20-21-42-37(51)34(50)39(2,3)25-60-66(57,58)63-65(55,56)59-24-28-33(62-64(52,53)54)32(49)38(61-28)46-27-45-31-35(40)43-26-44-36(31)46/h8-9,11-12,26-28,32-34,38,49-50H,4-7,10,13-25H2,1-3H3,(H,41,47)(H,42,51)(H,55,56)(H,57,58)(H2,40,43,44)(H2,52,53,54)/b9-8+,12-11+/t28-,32-,33-,34+,38-/m1/s1
InChIKey YECLLIMZHNYFCK-RQHJKPPISA-N
Properties
Density 1.512g/cm3 (Cal.)
Market Analysis Reports
Related Products
gamma-Linolenic...  gamma-Linolenic...  alpha-Linolenic...  1-Linolenoyl-2,...  gamma-Linolenoy...  Linolenoyl Chlo...  rac 1-Linolenoy...  N-gamma-Linolen...  Linoleohydroxam...  rac-1-Linoleoyl...  Linoleoyl Coenz...  rac-1-Linoleoyl...  N-Linoleoyletha...  2-Linoleoyl-Rac...  1-Linoleoyl-(2S...  1-Linoleoyl-2,3...  rac-1-Linoleoyl...  1-Linoleoyl-2-o...  1-Linoleoyl-3-p...  [[(2-aminoethoxy)hydroxyphosphinyl]oxy]methyl]-2-[(1-oxohexadecyl)oxy]ethyl ester, 9Z,12Z-octadecadienoic acid";(19R)-25-amino-22-hydroxy-22-oxido-16-oxo-17,21,23-trioxa-22λ(5)-phosphapentacosan-19-yl (9Z,12Z)-octadeca-9,12-dienoate;(1R)-1-[[[(2-aminoethoxy)hydroxyphosphinyl]oxy]methyl]-2-[(1-oxohexadecyl)oxy]ethyl ester, 9Z,12Z-octadecadienoic acid">2-Linoleoyl-1-p...