|
CAS#: 39342-08-0 Product: 3-Hydroxy-8-Methyl-N-[(3S,6S,9S,12S,15S,18S,21S,24S)-6,9,18,21-Tetrakis(2-Aminoethyl)-3,12,15-Tris(2-Methylpropyl)-2,5,8,11,14,17,20,23-Octaoxo-1,4,7,10,13,16,19,22-Octazacyclohexacos-24-Yl]Decanamide No suppilers available for the product. |
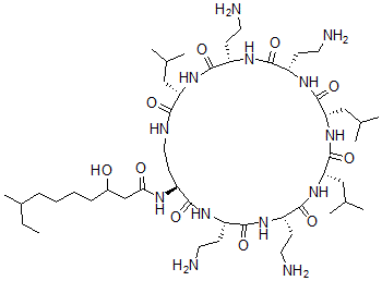
| Name | 3-Hydroxy-8-Methyl-N-[(3S,6S,9S,12S,15S,18S,21S,24S)-6,9,18,21-Tetrakis(2-Aminoethyl)-3,12,15-Tris(2-Methylpropyl)-2,5,8,11,14,17,20,23-Octaoxo-1,4,7,10,13,16,19,22-Octazacyclohexacos-24-Yl]Decanamide |
|---|---|
| Synonyms | 3-Hydroxy-8-Methyl-N-[(3S,6S,9S,12S,15S,18S,21S,24S)-6,9,18,21-Tetrakis(2-Aminoethyl)-3,12,15-Triisobutyl-2,5,8,11,14,17,20,23-Octaoxo-1,4,7,10,13,16,19,22-Octazacyclohexacos-24-Yl]Decanamide; 3-Hydroxy-8-Methyl-N-[(3S,6S,9S,12S,15S,18S,21S,24S)-6,9,18,21-Tetrakis(2-Aminoethyl)-3,12,15-Triisobutyl-2,5,8,11,14,17,20,23-Octaketo-1,4,7,10,13,16,19,22-Octazacyclohexacos-24-Yl]Capramide; Antibiotic Em49 |
| Molecular Structure | ![]() |
| Molecular Formula | C49H93N13O10 |
| Molecular Weight | 1024.35 |
| CAS Registry Number | 39342-08-0 |
| SMILES | [C@H]1(NC(=O)[C@@H](NC(=O)[C@@H](NC(=O)[C@@H](NC(=O)CC(O)CCCCC(CC)C)CCNC(=O)[C@@H](NC(=O)[C@@H](NC(=O)[C@@H](NC(=O)[C@@H](NC1=O)CC(C)C)CCN)CCN)CC(C)C)CCN)CCN)CC(C)C |
| InChI | 1S/C49H93N13O10/c1-9-31(8)12-10-11-13-32(63)27-41(64)55-37-18-23-54-42(65)38(24-28(2)3)60-45(68)35(16-21-52)56-44(67)34(15-20-51)59-48(71)39(25-29(4)5)62-49(72)40(26-30(6)7)61-46(69)36(17-22-53)57-43(66)33(14-19-50)58-47(37)70/h28-40,63H,9-27,50-53H2,1-8H3,(H,54,65)(H,55,64)(H,56,67)(H,57,66)(H,58,70)(H,59,71)(H,60,68)(H,61,69)(H,62,72)/t31?,32?,33-,34-,35-,36-,37-,38-,39-,40-/m0/s1 |
| InChIKey | XXJAQSYTQPWWKU-QVRBQHTBSA-N |
| Density | 1.191g/cm3 (Cal.) |
|---|---|
| Boiling point | 1348.656°C at 760 mmHg (Cal.) |
| Flash point | 769.439°C (Cal.) |
| Market Analysis Reports |