Online Database of Chemicals from Around the World

(3S)-3,6-Diamino-N-[[(2S,5S,8Z,11S,15S)-15-Amino-11-[(4R)-2-Amino-3,4,5,6-Tetrahydropyrimidin-4-Yl]-8-[(Carbamoylamino)Methylidene]-2-Methyl-3,6,9,12,16-Pentaoxo-1,4,7,10,13-Pentazacyclohexadec-5-Yl]Methyl]Hexanamide
[CAS 33490-33-4]

Suppliers
CAS#: 33490-33-4
Product: (3S)-3,6-Diamino-N-[[(2S,5S,8Z,11S,15S)-15-Amino-11-[(4R)-2-Amino-3,4,5,6-Tetrahydropyrimidin-4-Yl]-8-[(Carbamoylamino)Methylidene]-2-Methyl-3,6,9,12,16-Pentaoxo-1,4,7,10,13-Pentazacyclohexadec-5-Yl]Methyl]Hexanamide
No suppilers available for the product.
Identification
Name (3S)-3,6-Diamino-N-[[(2S,5S,8Z,11S,15S)-15-Amino-11-[(4R)-2-Amino-3,4,5,6-Tetrahydropyrimidin-4-Yl]-8-[(Carbamoylamino)Methylidene]-2-Methyl-3,6,9,12,16-Pentaoxo-1,4,7,10,13-Pentazacyclohexadec-5-Yl]Methyl]Hexanamide
Synonyms (3S)-3,6-Diamino-N-[[(2S,5S,8Z,11S,15S)-15-Amino-11-[(4R)-2-Amino-3,4,5,6-Tetrahydropyrimidin-4-Yl]-2-Methyl-3,6,9,12,16-Pentaoxo-8-(Ureidomethylene)-1,4,7,10,13-Pentazacyclohexadec-5-Yl]Methyl]Hexanamide; (3S)-3,6-Diamino-N-[[(2S,5S,8Z,11S,15S)-15-Amino-11-[(4R)-2-Amino-3,4,5,6-Tetrahydropyrimidin-4-Yl]-3,6,9,12,16-Pentaketo-2-Methyl-8-(Ureidomethylene)-1,4,7,10,13-Pentazacyclohexadec-5-Yl]Methyl]Hexanamide; (3S)-3,6-Diamino-N-[[(2S,5S,8Z,11S,15S)-15-Amino-8-[(Aminocarbonylamino)Methylidene]-11-[(4R)-2-Amino-3,4,5,6-Tetrahydropyrimidin-4-Yl]-2-Methyl-3,6,9,12,16-Pentaoxo-1,4,7,10,13-Pentazacyclohexadec-5-Yl]Methyl]Hexanamide
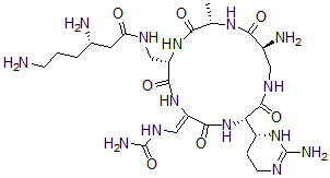
Molecular Structure CAS#: 33490-33-4, (3S)-3,6-Diamino-N-[[(2S,5S,8Z,11S,15S)-15-Amino-11-[(4R)-2-Amino-3,4,5,6-Tetrahydropyrimidin-4-Yl]-8-[(Carbamoylamino)Methylidene]-2-Methyl-3,6,9,12,16-Pentaoxo-1,4,7,10,13-Pentazacyclohexadec-5-Yl]Methyl]Hexanamide
Molecular Formula C25H44N14O7
Molecular Weight 652.71
CAS Registry Number 33490-33-4
SMILES [C@H]1(NC(=NCC1)N)[C@@H]2NC(=O)\C(NC(=O)[C@@H](NC(=O)[C@@H](NC(=O)[C@@H](N)CNC2=O)C)CNC(=O)C[C@@H](N)CCCN)=C\NC(=O)N
InChI 1S/C25H44N14O7/c1-11-19(41)36-15(9-32-17(40)7-12(27)3-2-5-26)21(43)37-16(10-34-25(30)46)22(44)39-18(14-4-6-31-24(29)38-14)23(45)33-8-13(28)20(42)35-11/h10-15,18H,2-9,26-28H2,1H3,(H,32,40)(H,33,45)(H,35,42)(H,36,41)(H,37,43)(H,39,44)(H3,29,31,38)(H3,30,34,46)/b16-10-/t11-,12-,13-,14+,15-,18-/m0/s1
InChIKey FRXNXDHFQYZYNA-GOTGUIIGSA-N
Properties
Density 1.703g/cm3 (Cal.)
Market Analysis Reports
Related Products
2,5-Diaminoadip...  3,6-Diamino-3aH...  2-[[[(6S)-2,6-D...  2-[[[(6S)-2,6-D...  2-[4,6-Diamino-...  (2R,3R,4R,5R)-2...  (1S,2S,3R,4S,6R...  (1S,2S,3R,4S,6R...  2-[4,6-Diamino-...  (3S)-3,6-Diamin...  3,5-Diamino-N-[...  3,5-Diamino-N-[...  4,8-Diamino-N-[...  (E)-2,10-diamin...  (5Z)-2,10-Diami...  2,4-Diamino-5-(...  (1R,2S,3S,4R,6S...  (1R,2S,3S,4R,6S...  (1S,2S,3R,4S,6R...  (2S)-2,6-Diamin...