Online Database of Chemicals from Around the World

Triethanolamine phosphate (2:1)
[CAS 32154-53-3]

List of Suppliers
Alfa Chemistry USA
www.alfa-chemistry.com
+1 (201) 478-8534
+1 (516) 927-0118
inquiry@alfa-chemistry.com
Chemical distributor since 2012
chemBlink Standard supplier since 2012

Identification
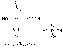
NameTriethanolamine phosphate (2:1)
Molecular StructureTriethanolamine phosphate (2:1) molecular structure (CAS 32154-53-3)
Molecular Formula(C6H15NO3)2.H3PO4
Molecular Weight396.37
CAS Registry Number32154-53-3
EC Number250-935-5
Safety Data
Hazard Classification
up    Details
HazardClassCategory CodeHazard Statement
Eye irritationEye Irrit.2H319
Skin irritationSkin Irrit.2H315
Market Analysis Reports
Related Products
Triethanolamine...  Triethanolamine...  Triethanolamine...  Triethanolamine...  Triethanolamine...  Triethanolamine...  Triethanolamine...  Triethanolamine...  Triethanolamine...  Triethanolamine...  Triethanolamine...  Triethanolamine...  Triethanolamine...  Triethanolamine...  Triethanolamine...  Triethanolammon...  Triethazine  1,2,4-Trietheny...  2,4,5-Trietheny...  1,3,5-Trietheny...