Online Database of Chemicals from Around the World

2,4-Di-(alpha-methoxyethyl)deuteroporphyrin-IX dipotassium salt
[CAS 31444-62-9]

Suppliers
Asinex Ltd. Russian Federation
+7 (495) 780-3415 / 780-3417
lsadovenko@asinex.com,
Chemical manufacturer
Identification
Name 2,4-Di-(alpha-methoxyethyl)deuteroporphyrin-IX dipotassium salt
Synonyms Bas 00337971; 2,4-Di-(Alpha-Methoxyethyl)Deuteroporphyrin Ix; 2,4-Di-(Alpha-Methoxyethyl)Deuteroporphyrin-Ix Dipotassium Salt
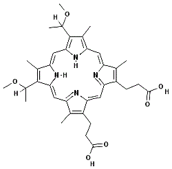
Molecular Structure CAS#: 31444-62-9, 2,4-Di-(alpha-methoxyethyl)deuteroporphyrin-IX dipotassium salt
Molecular Formula C36H42N4O6
Molecular Weight 626.75
CAS Registry Number 31444-62-9
SMILES C(C1=C(C3=NC1=CC5=NC(=CC2=C(C(=C([NH]2)C=C4[NH]C(=C3)C(=C4C)C(OC)C)C(OC)C)C)C(=C5CCC(O)=O)C)C)CC(O)=O
InChI 1S/C36H42N4O6/c1-17-23(9-11-33(41)42)29-16-30-24(10-12-34(43)44)18(2)26(38-30)14-31-36(22(6)46-8)20(4)28(40-31)15-32-35(21(5)45-7)19(3)27(39-32)13-25(17)37-29/h13-16,21-22,39-40H,9-12H2,1-8H3,(H,41,42)(H,43,44)
InChIKey RGPDNICUOPAPHO-UHFFFAOYSA-N
Properties
Density 1.243g/cm3 (Cal.)
Boiling point 1085.219°C at 760 mmHg (Cal.)
Flash point 610.119°C (Cal.)
Market Analysis Reports
Related Products
4-(2,2-Dimethox...  Di-2-Methoxyeth...  2,5-Dimethoxy-4...  N-(2,2-Dimethox...  (1,2-Dimethoxye...  (1,1-Dimethoxye...  1,2-Dimethoxy-4...  N-(2,2-Dimethox...  N-(2,2-Dimethox...  N-(1,1-Dimethox...  1-(2,2-Dimethox...  1-(2,2-Dimethox...  1-(2,2-Dimethox...  6-(1,1-Dimethox...  N-(2,2-Dimethox...  2,2-Dimethoxyet...  2,2-Dimethoxyet...  N-(2,2-Dimethox...  1-(2,2-Dimethox...  1-(2,2-Dimethox...