| Porphyrin Systems | Germany | |||
|---|---|---|---|---|
![]() | www.porphyrin-systems.de | |||
![]() | +49 (40) 6466-5860 | |||
![]() | +49 (40) 6466-5861 | |||
![]() | hombrecher@porphyrin-systems.de | |||
| Chemical manufacturer since 1999 | ||||
| chemBlink Standard supplier since 2010 | ||||
| Chengdu Aslee Biopharmaceuticals, Inc. | China | |||
|---|---|---|---|---|
![]() | www.asleechem.com | |||
![]() | +86 (28) 8530-5008 +86 15102825326 | |||
![]() | may.yang@asleechem.com | |||
![]() | QQ Chat | |||
![]() | Skype Chat | |||
| Chemical manufacturer since 2013 | ||||
| chemBlink Standard supplier since 2020 | ||||
| Shanghai Uchem Inc. | China | |||
|---|---|---|---|---|
![]() | www.uchemchemicals.cn | |||
![]() | +86 (21) 5676-2820 | |||
![]() | +86 (21) 5633-8808 | |||
![]() | rzhang@myuchem.com | |||
![]() | QQ Chat | |||
| Chemical manufacturer since 2009 | ||||
| chemBlink Standard supplier since 2022 | ||||
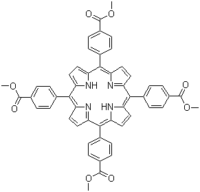
| Name | 5,10,15,20-Tetra(4-carboxyphenyl)porphine tetramethyl ester |
|---|---|
| Synonyms | meso-Tetra(4-carboxyphenyl)porphine tetramethyl ester |
| Molecular Structure | ![]() |
| Molecular Formula | C52H38N4O8 |
| Molecular Weight | 846.88 |
| CAS Registry Number | 22112-83-0 |
| SDS | Available |
|---|---|
| Market Analysis Reports |