Online Database of Chemicals from Around the World

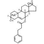
3-Hydroxy-17-Oxoandrost-5-En-7-Yl 3-Phenylpropanoate
[CAS 216062-80-5]

Suppliers
Achemica Switzerland
+41 (24) 466-2929
contact@achemica.com
Chemical manufacturer since 2010
Identification
Name 3-Hydroxy-17-Oxoandrost-5-En-7-Yl 3-Phenylpropanoate
Synonyms 3-Hydroxy-17-oxoandrost-5-en-7-yl 3-phenylpropanoate; 3-Hydroxy-17-oxoandrost-5-en-7-yl-3-phenylpropanoat; 3-Phénylpropanoate de 3-hydroxy-17-oxoandrost-5-én-7-yle
Molecular Structure CAS#: 216062-80-5, 3-Hydroxy-17-Oxoandrost-5-En-7-Yl 3-Phenylpropanoate
Molecular Formula C28H36O4
Molecular Weight 436.58
CAS Registry Number 216062-80-5
SMILES CC12CCC3C(C1CCC2=O)C(C=C4C3(CCC(C4)O)C)OC(=O)CCc5ccccc5
InChI 1S/C28H36O4/c1-27-14-12-20(29)16-19(27)17-23(32-25(31)11-8-18-6-4-3-5-7-18)26-21-9-10-24(30)28(21,2)15-13-22(26)27/h3-7,17,20-23,26,29H,8-16H2,1-2H3
InChIKey HTAVSRBNQWIPFL-UHFFFAOYSA-N
Properties
Density 1.2±0.1g/cm3 (Cal.)
Boiling point 576.6±50.0°C at 760 mmHg (Cal.)
Flash point 188.3±23.6°C (Cal.)
Refractive index 1.587 (Cal.)
Market Analysis Reports
Related Products
N-Hydroxy-2-(9-...  [2-Hydroxy-3-[[...  2-Hydroxy-3-[(1...  [2-Hydroxy-3-[(...  9-Hydroxy-17-Ox...  17beta-​Hydroxy...  (7beta,8xi,9xi,...  7-Hydroxy-17-Ox...  (16alpha)-3-Hyd...  7-Hydroxy-17-Ox...  3-Hydroxy-17-Ox...  1-Hydroxy-3-Oxo...  (3S)-8-Hydroxy-...  3-Hydroxy-2-Oxo...  2-(3-Hydroxy-2-...  4-Hydroxy-alpha...  (alphaS)-alpha-...  (alphaR)-alpha-...  N-Hydroxy-alpha...  4-Hydroxy-beta-...