Online Database of Chemicals from Around the World

22-Butan-2-Yl-13-Heptadecyl-9,16-Bis(1-Hydroxyethyl)-3,19-Dimethyl-6-Propan-2-Yl-14-Oxa-1,4,7,10,17,20,23-Heptazabicyclo[23.3.0]Octacosane-2,5,8,11,15,18,21,24-Octone
[CAS 2132-55-0]

Suppliers
CAS#: 2132-55-0
Product: 22-Butan-2-Yl-13-Heptadecyl-9,16-Bis(1-Hydroxyethyl)-3,19-Dimethyl-6-Propan-2-Yl-14-Oxa-1,4,7,10,17,20,23-Heptazabicyclo[23.3.0]Octacosane-2,5,8,11,15,18,21,24-Octone
No suppilers available for the product.
Identification
Name 22-Butan-2-Yl-13-Heptadecyl-9,16-Bis(1-Hydroxyethyl)-3,19-Dimethyl-6-Propan-2-Yl-14-Oxa-1,4,7,10,17,20,23-Heptazabicyclo[23.3.0]Octacosane-2,5,8,11,15,18,21,24-Octone
Synonyms 13-Heptadecyl-9,16-Bis(1-Hydroxyethyl)-6-Isopropyl-3,19-Dimethyl-22-Sec-Butyl-14-Oxa-1,4,7,10,17,20,23-Heptazabicyclo[23.3.0]Octacosane-2,5,8,11,15,18,21,24-Octone; 13-Heptadecyl-9,16-Bis(1-Hydroxyethyl)-6-Isopropyl-3,19-Dimethyl-22-Sec-Butyl-14-Oxa-1,4,7,10,17,20,23-Heptazabicyclo[23.3.0]Octacosane-2,5,8,11,15,18,21,24-Tetraquinone; Peptidolipin Na
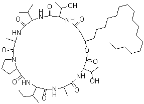
Molecular Structure CAS#: 2132-55-0, 22-Butan-2-Yl-13-Heptadecyl-9,16-Bis(1-Hydroxyethyl)-3,19-Dimethyl-6-Propan-2-Yl-14-Oxa-1,4,7,10,17,20,23-Heptazabicyclo[23.3.0]Octacosane-2,5,8,11,15,18,21,24-Octone
Molecular Formula C50H89N7O11
Molecular Weight 964.29
CAS Registry Number 2132-55-0
SMILES C(C(C1NC(=O)C2N(C(=O)C(NC(=O)C(NC(=O)C(NC(=O)CC(OC(=O)C(NC(=O)C(NC1=O)C)C(O)C)CCCCCCCCCCCCCCCCC)C(O)C)C(C)C)C)CCC2)C)C
InChI 1S/C50H89N7O11/c1-10-12-13-14-15-16-17-18-19-20-21-22-23-24-25-27-37-30-39(60)53-42(35(8)58)48(65)54-40(31(3)4)46(63)52-34(7)49(66)57-29-26-28-38(57)45(62)55-41(32(5)11-2)47(64)51-33(6)44(61)56-43(36(9)59)50(67)68-37/h31-38,40-43,58-59H,10-30H2,1-9H3,(H,51,64)(H,52,63)(H,53,60)(H,54,65)(H,55,62)(H,56,61)
InChIKey ISFFTEWJOFYRNG-UHFFFAOYSA-N
Properties
Density 1.157g/cm3 (Cal.)
Boiling point 1200.434°C at 760 mmHg (Cal.)
Flash point 679.798°C (Cal.)
Market Analysis Reports
Related Products
(2-Butan-2-Yl-4...  (2-Butan-2-Yl-4...  (2-Butan-2-Yl-4...  (2S)-N-[(3S,4S,...  24-Butan-2-Yl-3...  6-Butan-2-Yl-3-...  Butan-2-Yl-Ethy...  5-Butan-2-Yl-5-...  2-Butan-2-Yl-1-...  (2-Butan-2-Yl-1...  (3S,6R,12S,15R)...  S-Butan-2-Yl He...  Butan-2-ylhydra...  Butan-2-Yl-Hydr...  3-[(2S)-Butan-2...  24-Butan-2-Yl-1...  24-Butan-2-Yl-1...  24-Butan-2-Yl-1...  Butan-2-Yl 4-(4...  (2S)-N-[(2R)-1-...