Identification
| Name |
Dipentaerythritol Pentastearate |
| Synonyms |
Octadecanoic Acid [2-[[2-(Hydroxymethyl)-3-(1-Oxooctadecoxy)-2-(1-Oxooctadecoxymethyl)Propoxy]Methyl]-3-(1-Oxooctadecoxy)-2-(1-Oxooctadecoxymethyl)Propyl] Ester; Stearic Acid [2-[[2-Methylol-3-Stearoyloxy-2-(Stearoyloxymethyl)Propoxy]Methyl]-3-Stearoyloxy-2-(Stearoyloxymethyl)Propyl] Ester; Dipentaerythritol Pentastearate |
|
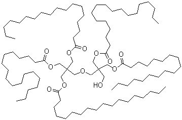
| Molecular Structure |
 |
| Molecular Formula |
C100H192O12 |
| Molecular Weight |
1586.61 |
| CAS Registry Number |
20190-00-5 |
| EINECS |
243-570-8 |
| SMILES |
C(C(COC(CCCCCCCCCCCCCCCCC)=O)(COC(CCCCCCCCCCCCCCCCC)=O)COCC(CO)(COC(CCCCCCCCCCCCCCCCC)=O)COC(CCCCCCCCCCCCCCCCC)=O)OC(CCCCCCCCCCCCCCCCC)=O |
| InChI |
1S/C100H192O12/c1-6-11-16-21-26-31-36-41-46-51-56-61-66-71-76-81-94(102)108-89-99(86-101,90-109-95(103)82-77-72-67-62-57-52-47-42-37-32-27-22-17-12-7-2)87-107-88-100(91-110-96(104)83-78-73-68-63-58-53-48-43-38-33-28-23-18-13-8-3,92-111-97(105)84-79-74-69-64-59-54-49-44-39-34-29-24-19-14-9-4)93-112-98(106)85-80-75-70-65-60-55-50-45-40-35-30-25-20-15-10-5/h101H,6-93H2,1-5H3 |
| InChIKey |
RBZMSAAQBUBBDH-UHFFFAOYSA-N |
|