Online Database of Chemicals from Around the World

Adenylyl-(3'-5')-Uridine 3'-Monophosphate
[CAS 1985-21-3]

Suppliers
CAS#: 1985-21-3
Product: Adenylyl-(3'-5')-Uridine 3'-Monophosphate
No suppilers available for the product.
Identification
Name Adenylyl-(3'-5')-Uridine 3'-Monophosphate
Synonyms [(2R,3S,4R,5R)-5-(6-Aminopurin-9-Yl)-4-Hydroxy-2-(Hydroxymethyl)Tetrahydrofuran-3-Yl] [(2R,3S,4R,5R)-5-(2,4-Dioxopyrimidin-1-Yl)-4-Hydroxy-3-Phosphonooxy-Tetrahydrofuran-2-Yl]Methyl Hydrogen Phosphate; [(2R,3S,4R,5R)-5-(6-Amino-9-Purinyl)-4-Hydroxy-2-(Hydroxymethyl)-3-Tetrahydrofuranyl] [(2R,3S,4R,5R)-5-(2,4-Dioxo-1-Pyrimidinyl)-4-Hydroxy-3-Phosphonooxy-2-Tetrahydrofuranyl]Methyl Hydrogen Phosphate; [(2R,3S,4R,5R)-5-(6-Aminopurin-9-Yl)-4-Hydroxy-2-Methylol-Tetrahydrofuran-3-Yl] [(2R,3S,4R,5R)-5-(2,4-Diketopyrimidin-1-Yl)-4-Hydroxy-3-Phosphonooxy-Tetrahydrofuran-2-Yl]Methyl Hydrogen Phosphate
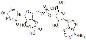
Molecular Structure CAS#: 1985-21-3, Adenylyl-(3'-5')-Uridine 3'-Monophosphate
Molecular Formula C19H25N7O15P2
Molecular Weight 653.39
CAS Registry Number 1985-21-3
SMILES [C@H]5([N]2C1=C(C(=NC=N1)N)N=C2)[C@@H]([C@H](O[P](OC[C@@H]4[C@H]([C@@H](O)[C@H](N3C(NC(C=C3)=O)=O)O4)O[P](=O)(O)O)(=O)O)[C@H](O5)CO)O
InChI 1S/C19H25N7O15P2/c20-15-10-16(22-5-21-15)26(6-23-10)18-11(29)13(7(3-27)38-18)41-43(35,36)37-4-8-14(40-42(32,33)34)12(30)17(39-8)25-2-1-9(28)24-19(25)31/h1-2,5-8,11-14,17-18,27,29-30H,3-4H2,(H,35,36)(H2,20,21,22)(H,24,28,31)(H2,32,33,34)/t7-,8-,11-,12-,13-,14-,17-,18-/m1/s1
InChIKey FZCSEXOMUJFOHQ-KPKSGTNCSA-N
Properties
Density 2.347g/cm3 (Cal.)
Market Analysis Reports
Related Products
Adenylyl-(3'-5'...  5'-Adenylyl (al...  Adenylyl-(3'→5'...  Adenylyl(3'-5')...  Adenylyl-(3'-5'...  Adenylyl Dihydr...  Adenylyl-(3'→5'...  Adenylyl-Imidod...  Adenylyl 5'-Per...  Adenylyl-tyrosi...  ADENYLYL(3>5)UR...  Adenylyl-(3'-5'...  Adenylyl-(3'-5'...  Adephenine hydr...  Aderbasib;(6S,7...  Adeturon;2-Amin...  MMA (adhesive);...  Adhyperforin;(1...  Adiantifoline;A...  Adiantum Capill...