Online Database of Chemicals from Around the World

Arabinopentaose
[CAS 190852-25-6]

List of Suppliers
Carbosynth China Ltd. China
www.carbosynth.cn
+86 (512) 6260-5585
+86 (512) 6260-5576
sales@carbosynth.com
QQ Chat
Chemical manufacturer since 2006
chemBlink Standard supplier since 2016

Identification
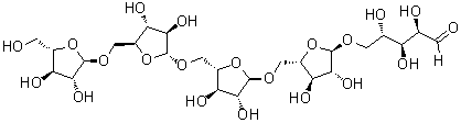
NameArabinopentaose
SynonymsO-alpha-L-Arabinofuranosyl-(1→5)-O-alpha-L-arabinofuranosyl-(1→5)-O-alpha-L-arabinofuranosyl-(1→5)-O-alpha-L-arabinofuranosyl-(1→5)-L-arabinose
Molecular StructureArabinopentaose molecular structure (CAS 190852-25-6)
Molecular FormulaC25H42O21
Molecular Weight678.59
CAS Registry Number190852-25-6
Properties
SolubilitySparingly soluble (21 g/L) (25 °C), Calc.*
Density1.75±0.1 g/cm3 (20 °C 760 Torr), Calc.*
*Calculated using Advanced Chemistry Development (ACD/Labs) Software V11.02 (©1994-2016 ACD/Labs)
Market Analysis Reports
Related Products
Arabino-3-Hexul...  L-arabino-2-Hex...  D-arabino-2-Hex...  D-arabino-2-Hex...  L-Arabinoic Aci...  Arabinonate-5-P...  Arabinonic Acid  D-Arabinonic Ac...  D-Arabinonic ac...  D-Arabinonic ac...  beta-D-Arabinop...  D-Arabinopyrano...  alpha-D-Arabino...  beta-D-Arabinop...  alpha-L-Arabino...  L-Arabinopyrano...  D-Arabinopyrano...  L-Arabinopyrano...  N1-alpha-L-Arab...  (3beta,16alpha)...