Online Database of Chemicals from Around the World

3,8,12,17-Tetramethyl-21H,23H-Porphine-2,7,13,18-Tetrapropanoic Acid
[CAS 18372-11-7]

Suppliers
Achemica Switzerland
+41 (24) 466-2929
contact@achemica.com
Chemical manufacturer since 2010
Identification
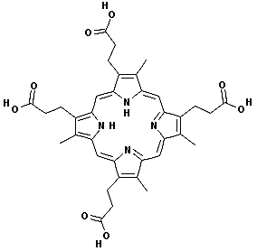
Name 3,8,12,17-Tetramethyl-21H,23H-Porphine-2,7,13,18-Tetrapropanoic Acid
Synonyms Coproporphyrin Iv
Molecular Structure CAS#: 18372-11-7, 3,8,12,17-Tetramethyl-21H,23H-Porphine-2,7,13,18-Tetrapropanoic Acid
Molecular Formula C36H38N4O8
Molecular Weight 654.72
CAS Registry Number 18372-11-7
SMILES C(C2=C(C3=CC5=NC(=CC4=NC(=CC1=C(C(=C([NH]1)C=C2[NH]3)CCC(O)=O)C)C(=C4C)CCC(O)=O)C(=C5CCC(O)=O)C)C)CC(O)=O
InChI 1S/C36H38N4O8/c1-17-21(5-9-33(41)42)29-14-27-19(3)23(7-11-35(45)46)31(39-27)16-32-24(8-12-36(47)48)20(4)28(40-32)15-30-22(6-10-34(43)44)18(2)26(38-30)13-25(17)37-29/h13-16,39-40H,5-12H2,1-4H3,(H,41,42)(H,43,44)(H,45,46)(H,47,48)
InChIKey POHWJGRQLRWYGL-UHFFFAOYSA-N
Properties
Density 1.367g/cm3 (Cal.)
Boiling point 1264.685°C at 760 mmHg (Cal.)
Flash point 718.655°C (Cal.)
Market Analysis Reports
Related Products
1-(2,2,6,6-Tetr...  N-(2,2,6,6-Tetr...  2,2,6,6-Tetrame...  2,2,6,6-Tetrame...  2,2,6,6-Tetrame...  2,2,6,6-Tetrame...  2-[[2-[N-(2,2,6...  N-(2,2,6,6-Tetr...  N-(2,2,6,6-Tetr...  3,8,13,17-Tetra...  3,7,13,17-Tetra...  3,3',3'',3'''-(...  4,4,5,5-Tetrame...  N,N',2,2-Tetram...  N,N,N',N'-tetra...  N,N,2,2-Tetrame...  3,3'-[(1,1,3,3-...  4,4'-[(1,1,3,3-...  3,3'-[1,1,3,3-T...  Tetramethyl Pro...