Online Database of Chemicals from Around the World

2-(2,4,4,6,6,8,8-Heptamethyl-1,3,5,7,2,4,6,8-tetroxatetrasilocan-2-yl)ethyl acetate
[CAS 18048-31-2]

Suppliers
Fluorochem Ltd. UK
+44 (1457) 860-111
enquiries@fluorochem.co.uk
Chemical manufacturer
Identification
Name 2-(2,4,4,6,6,8,8-Heptamethyl-1,3,5,7,2,4,6,8-tetroxatetrasilocan-2-yl)ethyl acetate
Synonyms (ACETOXYETHYL)HEPTAMETHYLCYCLOTETRASILOXANE; 2-(2,4,4,6,6,8,8-Heptamethyl-1,3,5,7,2,4,6,8-tetroxatetrasilocan-2-yl)ethyl acetate; 2-(2,4,4,6,6,8,8-Heptamethyl-1,3,5,7,2,4,6,8-tetroxatetrasilocan-2-yl)ethyl-acetat
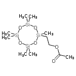
Molecular Structure CAS#: 18048-31-2, 2-(2,4,4,6,6,8,8-Heptamethyl-1,3,5,7,2,4,6,8-tetroxatetrasilocan-2-yl)ethyl acetate
Molecular Formula C11H28O6Si4
Molecular Weight 368.68
CAS Registry Number 18048-31-2
SMILES CC(=O)OCC[Si]1(O[Si](O[Si](O[Si](O1)(C)C)(C)C)(C)C)C
InChI 1S/C11H28O6Si4/c1-11(12)13-9-10-21(8)16-19(4,5)14-18(2,3)15-20(6,7)17-21/h9-10H2,1-8H3
InChIKey YIPBVPCNPASMTO-UHFFFAOYSA-N
Properties
Density 1.0±0.1g/cm3 (Cal.)
Boiling point 277.3±42.0°C at 760 mmHg (Cal.)
Flash point 101.0±23.4°C (Cal.)
Refractive index 1.437 (Cal.)
Market Analysis Reports
Related Products
2,4,4,6,6,8,8-H...  (2E,6Z,10E,14E,...  2-(3,7,11,15,19...  2-(3,7,11,15,19...  (6E,10E,14E,18E...  1,1,1,3,5,5,5-H...  Heptamethylphen...  [[[(2E,6E,10E,1...  1,1,1,3,3,5,5-H...  (6R,7R)-3,5,5,6...  1,1,1,3,5,5,5-H...  (4aS,6aR,6aS,6b...  Heptamethyltris...  Heptamethyl tri...  1,1,1,3,3,5,5-H...  1,1,1,3,5,5,5-H...  (1,1,1,3,5,5,5-...  Heptanal-Diethy...  Heptanal Dimeth...  Heptanal diprop...