Online Database of Chemicals from Around the World

N2-Acetyl-4-Methylleucinamide
[CAS 172485-73-3]

Suppliers
Achemica Switzerland
+41 (24) 466-2929
contact@achemica.com
Chemical manufacturer since 2010
Atomax Chemicals Co., Ltd. China
+86 13417589054/
info@atomaxchem.com,atomax.chemicals@gmail.com
QQ Chat
Chemical manufacturer
Identification
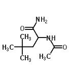
Name N2-Acetyl-4-Methylleucinamide
Synonyms 2-acetamido-4,4-dimethylpentanamide
Molecular Structure CAS#: 172485-73-3, N<Sup>2</Sup>-Acetyl-4-Methylleucinamide
Molecular Formula C9H18N2O2
Molecular Weight 186.25
CAS Registry Number 172485-73-3
SMILES CC(=O)NC(CC(C)(C)C)C(=O)N
InChI 1S/C9H18N2O2/c1-6(12)11-7(8(10)13)5-9(2,3)4/h7H,5H2,1-4H3,(H2,10,13)(H,11,12)
InChIKey SROJQUUSXIGTCO-UHFFFAOYSA-N
Properties
Density 1.011g/cm3 (Cal.)
Boiling point 393.06°C at 760 mmHg (Cal.)
Flash point 191.516°C (Cal.)
Refractive index 1.464 (Cal.)
Market Analysis Reports
Related Products
2-Acetyl-4-meth...  4-Acetyl-1-Meth...  1-Acetyl-3-Meth...  2,3-(1-Acetyl-2...  1-Acetyl-4-meth...  3-Acetyl-7-Meth...  N2-A...  5-Acetyl-3-Meth...  4-Acetyl-5-Meth...  N-Acetyl-2'-O-M...  N-Acetyl-4-Meth...  N6-Acetyl-N2-me...  2-Acetyl-3-meth...  (2S)-1-Acetyl-N...  2-Acetyl-2-Meth...  (3R)-3-Acetyl-3...  (3S)-3-Acetyl-3...  1-Acetyl-4-Meth...  (6S)-1-Acetyl-6...  N-Acetyl-N-[2-m...