Online Database of Chemicals from Around the World

16-(4-Aminobutyl)-N-(1,3-Dihydroxy-2-Methylpropan-2-Yl)-13-(1-Hydroxyethyl)-19-(1H-Indol-3-Ylmethyl)-12,15,18,21,24-Pentaoxo-22-(Phenylmethyl)-7,8-Dithia-11,14,17,20,23-Pentazaspiro[5.19]Pentacosane-10-Carboxamide
[CAS 150747-52-7]

Suppliers
CAS#: 150747-52-7
Product: 16-(4-Aminobutyl)-N-(1,3-Dihydroxy-2-Methylpropan-2-Yl)-13-(1-Hydroxyethyl)-19-(1H-Indol-3-Ylmethyl)-12,15,18,21,24-Pentaoxo-22-(Phenylmethyl)-7,8-Dithia-11,14,17,20,23-Pentazaspiro[5.19]Pentacosane-10-Carboxamide
No suppilers available for the product.
Identification
Name 16-(4-Aminobutyl)-N-(1,3-Dihydroxy-2-Methylpropan-2-Yl)-13-(1-Hydroxyethyl)-19-(1H-Indol-3-Ylmethyl)-12,15,18,21,24-Pentaoxo-22-(Phenylmethyl)-7,8-Dithia-11,14,17,20,23-Pentazaspiro[5.19]Pentacosane-10-Carboxamide
Synonyms 16-(4-Aminobutyl)-13-(1-Hydroxyethyl)-N-[2-Hydroxy-1-(Hydroxymethyl)-1-Methyl-Ethyl]-19-(1H-Indol-3-Ylmethyl)-12,15,18,21,24-Pentaoxo-22-(Phenylmethyl)-7,8-Dithia-11,14,17,20,23-Pentazaspiro[5.19]Pentacosane-10-Carboxamide; 16-(4-Aminobutyl)-13-(1-Hydroxyethyl)-N-[2-Hydroxy-1-(Hydroxymethyl)-1-Methylethyl]-19-(1H-Indol-3-Ylmethyl)-12,15,18,21,24-Pentaoxo-22-(Phenylmethyl)-7,8-Dithia-11,14,17,20,23-Pentazaspiro[5.19]Pentacosane-10-Carboxamide; 16-(4-Aminobutyl)-22-(Benzyl)-13-(1-Hydroxyethyl)-N-(2-Hydroxy-1-Methyl-1-Methylol-Ethyl)-19-(1H-Indol-3-Ylmethyl)-12,15,18,21,24-Pentaketo-7,8-Dithia-11,14,17,20,23-Pentazaspiro[5.19]Pentacosane-10-Carboxamide
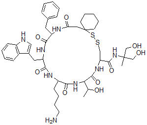
Molecular Structure CAS#: 150747-52-7, 16-(4-Aminobutyl)-N-(1,3-Dihydroxy-2-Methylpropan-2-Yl)-13-(1-Hydroxyethyl)-19-(1H-Indol-3-Ylmethyl)-12,15,18,21,24-Pentaoxo-22-(Phenylmethyl)-7,8-Dithia-11,14,17,20,23-Pentazaspiro[5.19]Pentacosane-10-Carboxamide
Molecular Formula C45H64N8O9S2
Molecular Weight 925.17
CAS Registry Number 150747-52-7
SMILES C1=C(C2=C([NH]1)C=CC=C2)CC3NC(=O)C(NC(=O)CC4(SSCC(NC(=O)C(NC(=O)C(NC3=O)CCCCN)C(O)C)C(=O)NC(CO)(CO)C)CCCCC4)CC5=CC=CC=C5
InChI 1S/C45H64N8O9S2/c1-28(56)38-43(62)51-36(42(61)53-44(2,26-54)27-55)25-63-64-45(18-10-4-11-19-45)23-37(57)48-34(21-29-13-5-3-6-14-29)40(59)50-35(22-30-24-47-32-16-8-7-15-31(30)32)41(60)49-33(39(58)52-38)17-9-12-20-46/h3,5-8,13-16,24,28,33-36,38,47,54-56H,4,9-12,17-23,25-27,46H2,1-2H3,(H,48,57)(H,49,60)(H,50,59)(H,51,62)(H,52,58)(H,53,61)
InChIKey NJVMKJXFXIAJHE-UHFFFAOYSA-N
Properties
Density 1.366g/cm3 (Cal.)
Boiling point 1335.293°C at 760 mmHg (Cal.)
Flash point 761.358°C (Cal.)
Market Analysis Reports
Related Products
(3R,5R)-3-Amino...  4-(4-Aminobutyl...  2-Amino-1-Butyl...  1-Amino-N-Butyl...  5-Amino-2-Butyl...  4-Amino-5-butyl...  5-Amino-4-butyl...  4-Amino-1-Butyl...  N-(4-Aminobutyl...  N-(4-Aminobutyl...  5-(4'-Aminobuty...  (4-Aminobutyl)d...  4-Aminobutyldim...  2-Amino-1-(Buty...  N-(4-Aminobutyl...  alpha-(4-Aminob...  (2S)-2-[(3S,8aR...  (2S)-2-[(3S,8aS...  N-(6-Amino-3-Bu...  alpha-(4-Aminob...