Online Database of Chemicals from Around the World

[3-[[(2S)-5-(4-Amino-2-Oxopyrimidin-1-Yl)Oxolan-2-Yl]Methoxy-Hydroxyphosphoryl]Oxy-2-[(Z)-Octadec-9-Enoyl]Oxypropyl] (Z)-Octadec-9-Enoate
[CAS 147556-77-2]

Suppliers
CAS#: 147556-77-2
Product: [3-[[(2S)-5-(4-Amino-2-Oxopyrimidin-1-Yl)Oxolan-2-Yl]Methoxy-Hydroxyphosphoryl]Oxy-2-[(Z)-Octadec-9-Enoyl]Oxypropyl] (Z)-Octadec-9-Enoate
No suppilers available for the product.
Identification
Name [3-[[(2S)-5-(4-Amino-2-Oxopyrimidin-1-Yl)Oxolan-2-Yl]Methoxy-Hydroxyphosphoryl]Oxy-2-[(Z)-Octadec-9-Enoyl]Oxypropyl] (Z)-Octadec-9-Enoate
Synonyms [3-[[(2S)-5-(4-Amino-2-Oxo-Pyrimidin-1-Yl)Tetrahydrofuran-2-Yl]Methoxy-Hydroxy-Phosphoryl]Oxy-2-[(Z)-Octadec-9-Enoyl]Oxy-Propyl] (Z)-Octadec-9-Enoate; (Z)-Octadec-9-Enoic Acid [3-[[(2S)-5-(4-Amino-2-Oxo-1-Pyrimidinyl)-2-Tetrahydrofuranyl]Methoxy-Hydroxyphosphoryl]Oxy-2-[(Z)-1-Oxooctadec-9-Enoxy]Propyl] Ester; (Z)-Octadec-9-Enoic Acid [3-[[(2S)-5-(4-Amino-2-Keto-Pyrimidin-1-Yl)Tetrahydrofuran-2-Yl]Methoxy-Hydroxy-Phosphoryl]Oxy-2-[(Z)-Octadec-9-Enoyl]Oxy-Propyl] Ester
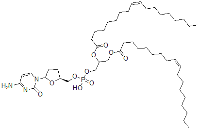
Molecular Structure CAS#: 147556-77-2, [3-[[(2S)-5-(4-Amino-2-Oxopyrimidin-1-Yl)Oxolan-2-Yl]Methoxy-Hydroxyphosphoryl]Oxy-2-[(Z)-Octadec-9-Enoyl]Oxypropyl] (Z)-Octadec-9-Enoate
Molecular Formula C48H84N3O10P
Molecular Weight 894.18
CAS Registry Number 147556-77-2
SMILES [C@@H]2(OC(N1C(=O)N=C(N)C=C1)CC2)CO[P](OCC(OC(=O)CCCCCCC\C=C/CCCCCCCC)COC(=O)CCCCCCC\C=C/CCCCCCCC)(=O)O
InChI 1S/C48H84N3O10P/c1-3-5-7-9-11-13-15-17-19-21-23-25-27-29-31-33-46(52)57-39-43(61-47(53)34-32-30-28-26-24-22-20-18-16-14-12-10-8-6-4-2)41-59-62(55,56)58-40-42-35-36-45(60-42)51-38-37-44(49)50-48(51)54/h17-20,37-38,42-43,45H,3-16,21-36,39-41H2,1-2H3,(H,55,56)(H2,49,50,54)/b19-17-,20-18-/t42-,43?,45?/m0/s1
InChIKey FYWMPROSVIHQFQ-XVSOQNEDSA-N
Properties
Density 1.124g/cm3 (Cal.)
Boiling point 879.907°C at 760 mmHg (Cal.)
Flash point 485.95°C (Cal.)
Market Analysis Reports
Related Products
[5-(4-Amino-2-O...  [(3aR,4R,6R,6aR...  [(2R,3S,4E,5R)-...  [(2R,3S,4R,5S)-...  [(2R,3S,4R,5R)-...  [[5-(4-Amino-2-...  [(2R,3S,5R)-5-(...  5-(4-Amino-2-ox...  (2R)-2-[(1R)-1-...  [1-[[5-(4-Amino...  [[5-(4-Amino-2-...  [(2S,5S)-5-(4-A...  [(2R,3S,5R)-5-(...  1-Amino-5-oxo-3...  (alphaS,3S)-alp...  (2-Amino-5-Oxo-...  [(2R)-2-Amino-5...  [(2S)-2-Amino-5...  (3-Amino-2-Oxo-...  (3-Amino-2-Oxo-...