Online Database of Chemicals from Around the World

(2S)-2-[[(2S,3R)-2-[[(2S)-2-[[(2R,3R,4R,5R)-3,5-Dihydroxy-2,4-Dimethyloctadecanoyl]Amino]-3,3-Dimethylpent-4-Enoyl]Amino]-3-Hydroxybutanoyl]Amino]-3-Oxopropanoic Acid
[CAS 147334-89-2]

Suppliers
CAS#: 147334-89-2
Product: (2S)-2-[[(2S,3R)-2-[[(2S)-2-[[(2R,3R,4R,5R)-3,5-Dihydroxy-2,4-Dimethyloctadecanoyl]Amino]-3,3-Dimethylpent-4-Enoyl]Amino]-3-Hydroxybutanoyl]Amino]-3-Oxopropanoic Acid
No suppilers available for the product.
Identification
Name (2S)-2-[[(2S,3R)-2-[[(2S)-2-[[(2R,3R,4R,5R)-3,5-Dihydroxy-2,4-Dimethyloctadecanoyl]Amino]-3,3-Dimethylpent-4-Enoyl]Amino]-3-Hydroxybutanoyl]Amino]-3-Oxopropanoic Acid
Synonyms (2S)-2-[[(2S,3R)-2-[[(2S)-2-[[(2R,3R,4R,5R)-3,5-Dihydroxy-2,4-Dimethyl-Octadecanoyl]Amino]-3,3-Dimethyl-Pent-4-Enoyl]Amino]-3-Hydroxy-Butanoyl]Amino]-3-Oxo-Propanoic Acid; (2S)-2-[[(2S,3R)-2-[[(2S)-2-[[(2R,3R,4R,5R)-3,5-Dihydroxy-2,4-Dimethyl-1-Oxooctadecyl]Amino]-3,3-Dimethyl-1-Oxopent-4-Enyl]Amino]-3-Hydroxy-1-Oxobutyl]Amino]-3-Oxopropanoic Acid; (2S)-2-[[(2S,3R)-2-[[(2S)-2-[[(2R,3R,4R,5R)-3,5-Dihydroxy-2,4-Dimethyl-Octadecanoyl]Amino]-3,3-Dimethyl-Pent-4-Enoyl]Amino]-3-Hydroxy-Butanoyl]Amino]-3-Keto-Propionic Acid
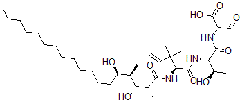
Molecular Structure CAS#: 147334-89-2, (2S)-2-[[(2S,3R)-2-[[(2S)-2-[[(2R,3R,4R,5R)-3,5-Dihydroxy-2,4-Dimethyloctadecanoyl]Amino]-3,3-Dimethylpent-4-Enoyl]Amino]-3-Hydroxybutanoyl]Amino]-3-Oxopropanoic Acid
Molecular Formula C34H61N3O9
Molecular Weight 655.87
CAS Registry Number 147334-89-2
SMILES [C@H](C(=O)O)(NC([C@@H](NC([C@@H](NC([C@@H]([C@@H]([C@@H]([C@@H](CCCCCCCCCCCCC)O)C)O)C)=O)C(C)(C)C=C)=O)[C@@H](C)O)=O)C=O
InChI 1S/C34H61N3O9/c1-8-10-11-12-13-14-15-16-17-18-19-20-26(40)22(3)28(41)23(4)30(42)37-29(34(6,7)9-2)32(44)36-27(24(5)39)31(43)35-25(21-38)33(45)46/h9,21-29,39-41H,2,8,10-20H2,1,3-7H3,(H,35,43)(H,36,44)(H,37,42)(H,45,46)/t22-,23-,24-,25+,26-,27+,28-,29-/m1/s1
InChIKey HIRFPWCSYAMYPE-UXNIWNHASA-N
Properties
Density 1.1±0.1g/cm3 (Cal.)
Boiling point 895.4±65.0°C at 760 mmHg (Cal.)
Flash point 495.3±34.3°C (Cal.)
Market Analysis Reports
Related Products
6,11-Dihydroxy-...  5,10-dihydroxy-...  (1alpha,2beta,4...  (5Z,11A,13E,15R...  (5Z,11A,13E,15R...  (3S,5R,9R,10R,1...  3,5-Dihydroxy-4...  3,5-Dihydroxy-6...  3,5-Dihydroxy-6...  2,5-Dihydroxy-3...  (2S)-2-[[(2S,3R...  (3aR,4S,5S,6R,7...  2-[(1S,4R,4aS,8...  5-[(E)-6,7-Dihy...  4-[(E)-6,7-Dihy...  7-[(6,7-Dihydro...  9-[[(2E)-6,7-Di...  2-[(4R,5S,6S,7R...  (3R,4S,5S,6R,7R...  6-(4,5-Dihydrox...