Online Database of Chemicals from Around the World

3beta,14beta,15beta-Trihydroxypregn-5-en-20-one-3-O-beta-D-(6-sinapoyl)glucopyranosyl(1-2)-beta-D-glucopyranoside
[CAS 145701-08-2]

Suppliers
CAS#: 145701-08-2
Product: 3beta,14beta,15beta-Trihydroxypregn-5-en-20-one-3-O-beta-D-(6-sinapoyl)glucopyranosyl(1-2)-beta-D-glucopyranoside
No suppilers available for the product.
Identification
Name 3beta,14beta,15beta-Trihydroxypregn-5-en-20-one-3-O-beta-D-(6-sinapoyl)glucopyranosyl(1-2)-beta-D-glucopyranoside
Synonyms [(2R,3S,4S,5R,6S)-6-[(2R,3R,4S,5S,6R)-2-[[(3S,8R,9S,10R,13R,14S,15R,17S)-17-Acetyl-14,15-Dihydroxy-10,13-Dimethyl-1,2,3,4,7,8,9,11,12,15,16,17-Dodecahydrocyclopenta[A]Phenanthren-3-Yl]Oxy]-4,5-Dihydroxy-6-(Hydroxymethyl)Tetrahydropyran-3-Yl]Oxy-3,4,5-Trihydroxy-Tetrahydropyran-2-Yl]Methyl (E)-3-(4-Hydroxy-3,5-Dimethoxy-Phenyl)Prop-2-Enoate; (E)-3-(4-Hydroxy-3,5-Dimethoxyphenyl)Prop-2-Enoic Acid [(2R,3S,4S,5R,6S)-6-[[(2R,3R,4S,5S,6R)-2-[[(3S,8R,9S,10R,13R,14S,15R,17S)-17-Acetyl-14,15-Dihydroxy-10,13-Dimethyl-1,2,3,4,7,8,9,11,12,15,16,17-Dodecahydrocyclopenta[A]Phenanthren-3-Yl]Oxy]-4,5-Dihydroxy-6-(Hydroxymethyl)-3-Tetrahydropyranyl]Oxy]-3,4,5-Trihydroxy-2-Tetrahydropyranyl]Methyl Ester; (E)-3-(4-Hydroxy-3,5-Dimethoxy-Phenyl)Acrylic Acid [(2R,3S,4S,5R,6S)-6-[(2R,3R,4S,5S,6R)-2-[[(3S,8R,9S,10R,13R,14S,15R,17S)-17-Acetyl-14,15-Dihydroxy-10,13-Dimethyl-1,2,3,4,7,8,9,11,12,15,16,17-Dodecahydrocyclopenta[A]Phenanthren-3-Yl]Oxy]-4,5-Dihydroxy-6-Methylol-Tetrahydropyran-3-Yl]Oxy-3,4,5-Trihydroxy-Tetrahydropyran-2-Yl]Methyl Ester
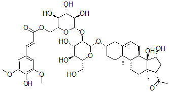
Molecular Structure CAS#: 145701-08-2, 3beta,14beta,15beta-Trihydroxypregn-5-en-20-one-3-O-beta-D-(6-sinapoyl)glucopyranosyl(1-2)-beta-D-glucopyranoside
Molecular Formula C44H62O18
Molecular Weight 878.96
CAS Registry Number 145701-08-2
SMILES [C@@]67(O)[C@H]1[C@@H]([C@@]5(C(=CC1)C[C@@H](O[C@@H]2O[C@@H]([C@@H](O)[C@H](O)[C@H]2O[C@@H]3O[C@@H]([C@@H](O)[C@H](O)[C@H]3O)COC(=O)\C=C\C4=CC(=C(O)C(=C4)OC)OC)CO)CC5)C)CC[C@@]6([C@H](C[C@H]7O)C(=O)C)C
InChI 1S/C44H62O18/c1-20(46)26-17-31(47)44(55)25-8-7-22-16-23(10-12-42(22,2)24(25)11-13-43(26,44)3)59-41-39(37(53)34(50)29(18-45)60-41)62-40-38(54)36(52)35(51)30(61-40)19-58-32(48)9-6-21-14-27(56-4)33(49)28(15-21)57-5/h6-7,9,14-15,23-26,29-31,34-41,45,47,49-55H,8,10-13,16-19H2,1-5H3/b9-6+/t23-,24-,25+,26+,29+,30+,31+,34+,35+,36-,37-,38+,39+,40-,41+,42-,43+,44+/m0/s1
InChIKey SDTRDZCVVFORLC-HASDMLKASA-N
Properties
Density 1.47g/cm3 (Cal.)
Boiling point 1016.837°C at 760 mmHg (Cal.)
Flash point 298.343°C (Cal.)
Market Analysis Reports
Related Products
11beta,17,21-Tr...  (11beta)-11,17,...  11beta,17,21-Tr...  11beta,17,21-Tr...  (6B)-6,17,21-Tr...  17,20,21-Trihyd...  17,20,21-Trihyd...  (3b,15b)-3,15,1...  (11beta,20R)-11...  3-beta,17-alpha...  1,3,7-Trihydrox...  1,3,5-Trihydrox...  (2S,3S,4S,5R,6R...  1,3,6-Trihydrox...  3,4,5-Trihydrox...  1-[(1S,2R)-1,2,...  2,10,11-Trihydr...  Trihydroxy-Prop...  (5Z,8beta,9beta...  (5Z,8beta,9alph...