Online Database of Chemicals from Around the World

1-[19-Amino-7,10-Bis(2-Amino-2-Oxoethyl)-16-[(4-Hydroxyphenyl)Methyl]-6,9,12,15,18-Pentaoxo-13-(Phenylmethyl)1,2-Dithia-5,8,11,14,17-Pentazacycloicosane-4-Carbonyl]-N-[1-[(2-Amino-2-Oxoethyl)Amino]-3-Methyl-1-Oxobutan-2-Yl]Pyrrolidine-2-Carboxamide
[CAS 144334-53-2]

Suppliers
Achemica Switzerland
+41 (24) 466-2929
contact@achemica.com
Chemical manufacturer since 2010
Identification
Name 1-[19-Amino-7,10-Bis(2-Amino-2-Oxoethyl)-16-[(4-Hydroxyphenyl)Methyl]-6,9,12,15,18-Pentaoxo-13-(Phenylmethyl)1,2-Dithia-5,8,11,14,17-Pentazacycloicosane-4-Carbonyl]-N-[1-[(2-Amino-2-Oxoethyl)Amino]-3-Methyl-1-Oxobutan-2-Yl]Pyrrolidine-2-Carboxamide
Synonyms 1-[19-Amino-7,10-Bis(2-Amino-2-Oxo-Ethyl)-16-[(4-Hydroxyphenyl)Methyl]-6,9,12,15,18-Pentaoxo-13-(Phenylmethyl)1,2-Dithia-5,8,11,14,17-Pentazacycloicosane-4-Carbonyl]-N-[1-[(2-Amino-2-Oxo-Ethyl)Carbamoyl]-2-Methyl-Propyl]Pyrrolidine-2-Carboxamide; 1-[[19-Amino-7,10-Bis(2-Amino-2-Oxoethyl)-16-[(4-Hydroxyphenyl)Methyl]-6,9,12,15,18-Pentaoxo-13-(Phenylmethyl)-1,2-Dithia-5,8,11,14,17-Pentazacycloicos-4-Yl]-Oxomethyl]-N-[1-[[(2-Amino-2-Oxoethyl)Amino]-Oxomethyl]-2-Methylpropyl]-2-Pyrrolidinecarboxamide; 1-[19-Amino-7,10-Bis(2-Amino-2-Keto-Ethyl)-13-(Benzyl)-16-(4-Hydroxybenzyl)-6,9,12,15,18-Pentaketo-1,2-Dithia-5,8,11,14,17-Pentazacycloicosane-4-Carbonyl]-N-[1-[(2-Amino-2-Keto-Ethyl)Carbamoyl]-2-Methyl-Propyl]Pyrrolidine-2-Carboxamide
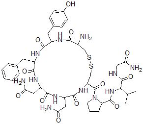
Molecular Structure CAS#: 144334-53-2, 1-[19-Amino-7,10-Bis(2-Amino-2-Oxoethyl)-16-[(4-Hydroxyphenyl)Methyl]-6,9,12,15,18-Pentaoxo-13-(Phenylmethyl)1,2-Dithia-5,8,11,14,17-Pentazacycloicosane-4-Carbonyl]-N-[1-[(2-Amino-2-Oxoethyl)Amino]-3-Methyl-1-Oxobutan-2-Yl]Pyrrolidine-2-Carboxamide
Molecular Formula C44H60N12O12S2
Molecular Weight 1013.15
CAS Registry Number 144334-53-2
SMILES C4=C(CC1NC(=O)C(N)CSSCC(NC(=O)C(NC(=O)C(NC(=O)C(NC1=O)CC2=CC=CC=C2)CC(=O)N)CC(=O)N)C(=O)N3C(C(=O)NC(C(=O)NCC(=O)N)C(C)C)CCC3)C=CC(=C4)O
InChI 1S/C44H60N12O12S2/c1-22(2)36(43(67)49-19-35(48)60)55-42(66)32-9-6-14-56(32)44(68)31-21-70-69-20-26(45)37(61)50-27(16-24-10-12-25(57)13-11-24)38(62)51-28(15-23-7-4-3-5-8-23)39(63)52-29(17-33(46)58)40(64)53-30(18-34(47)59)41(65)54-31/h3-5,7-8,10-13,22,26-32,36,57H,6,9,14-21,45H2,1-2H3,(H2,46,58)(H2,47,59)(H2,48,60)(H,49,67)(H,50,61)(H,51,62)(H,52,63)(H,53,64)(H,54,65)(H,55,66)
InChIKey DAHCMEORVXDYEP-UHFFFAOYSA-N
Properties
Density 1.317g/cm3 (Cal.)
Boiling point 1583.764°C at 760 mmHg (Cal.)
Flash point 911.627°C (Cal.)
Market Analysis Reports
Related Products
3-Amino-3-(4-bi...  3-Amino-3-Biphe...  2-Amino-4-(4-Bi...  4-Amino-[1,4'-b...  6-Amino-2,2'-bi...  3-Amino-5-[[[2,...  N-({(1R,4S,7S,1...  3-Amino-N,N'-Bi...  2-Amino-3-[3,5-...  1-[19-Amino-7,1...  4-Amino-3,6-Bis...  4-Amino-3,6-Bis...  4-Amino-3,6-Bis...  Amino[3,4-bis(b...  3-Amino-3-[3,4-...  1-Amino-4-[[3,5...  4-Amino-1-[3,5-...  beta-Amino-4-[B...  2-Amino-7-[Bis(...  (2S)-2-Amino-3-...